Quiz CONCORSO PER L'ASSEGNAZIONE DI SEDI FARMACEUTICHE 2025

Suddivisione database ministeriale

GRUPPI DI QUESITI 151-180

151. I corticosteroidi legandosi a recettori presenti nel citosol esercitano effetti:
152. Il sodio alginato è utile come antiacido:
153. Chi e’ il padre dell’omeopatia:
154. Per recettore si intende
155. I livelli ematici di trigliceridi sono
156. Quale delle reazioni di biotrasformazione elencate è classicamente inducibile ad opera di farmaci:
157. I messaggeri chimici si formano da sostanze che vengono immesse nell’organismo con la dieta. Da quale precursore deriva l’istamina?

158. In presenza di una confezione multipla frazionabile di un medicinale veterinario non è possibile dispensare:
159. Gli effetti dell’amfetamina sono dovuti ad
160. Un medicinale in compresse a base di flunitrazepam deve essere dispensato con:
161. Quale tra i farmaci elencati si può utilizzare nel trattamento dell’ipercalciuria:
162. Il baclofene, avente la struttura indicata, esercita azione miorilassante

163. La dieta deve essere controllata con maggiore rigore quando si assumono

164. Quale degli aggettivi sotto riportati definisce nella maniera più corretta un farmaco che impedisce la crescita batterica
165. Nell’attribuzione della data limite di utilizzazione di una preparazione galenica magistrale, il farmacista deve tenere in considerazione tutte le informazioni concernenti:
166. Le soluzioni isotoniche hanno la stessa osmolarità. Esse devono necessariamente presentare anche
167. Il punto isoelettrico di un amminoacido è
168. Tutte le seguenti sostanze possono avere effetti teratogeni tranne una, indicare quale:
169. Gli agonisti alfa-1 adrenergici hanno azione
170. Il valore di HLB richiesto
171. L’utilizzazione terapeutica di numerose sostanze è correlata alla loro capacità di bloccare particolari sistemi enzimatici. Quale, tra le coppie farmaco - enzima sotto elencate, rappresenta l’enzima ed il corrispondente inibitore?
172. Una tetraciclina è maggiormente assorbita per os se somministrata :
173. Se una sostanza si scioglie in esano e NON in acqua, essa sarà verosimilmente
174. Un farmaco basico nella sua forma protonata ha un pKa = 7. Quando esso entra in una cellula dove il valore del pH è uguale rispetto a quello del fluido extracellulare, la concentrazione della specie ionizzata
175. Gli antidepressivi triciclici di prima generazione:
176. Quale dei seguenti effetti è indotto dalla scopolamina?
177. A quale classe di farmaci viene riferito il suffisso “azepam” nella Denominazione Comune
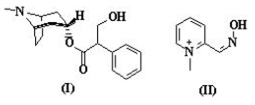
178. L’atropina (I) e la pralidossima (II) sono farmaci utilizzati terapeuticamente nell'avvelenamento da esteri fosforici in quanto entrambi

179. Qual è l'elminta che si trasmette per via percutanea anche agli uomini?
180. Un tensioattivo non ionico, per essere utilizzato come bagnante, deve essere caratterizzato da un valore di HLB:

Patente nautica D1 2025
Giochi e contenuti didattici per le scuole

TastoEffeUno.it

Copyright 2022 - ASSODOLAB, Associazione Nazionale Docenti di Laboratorio

Ente accreditato e qualificato dal MIUR per la formazione del personale della Scuola - Direttiva 170 del 21/03/2016.
Via Cavour, 74 - 76015 TRINITAPOLI BT - Italy
Telefono 339.2661022 - P. IVA 03039870716

PRIVACY: Questo sito utilizza cookie di terze parti (Google AdSense, Google Analytics) per migliorare servizi ed esperienza dei lettori. MAGGIORI DETTAGLI

DICHIARAZIONE DI NON RESPONSABILITA': Il titolare del sito non si assume alcuna responsabilità per eventuali danni diretti o indiretti derivanti dall'uso delle informazioni presenti nel sito o non aggiornate. L'accesso e l'utilizzo del sito avvengono sotto la responsabilità dell'utente. Tutti i contenuti del sito sono usufruibili in maniera gratuita. Non viene mai richiesto dagli autori del sito di utilizzare carte di credito o altri strumenti di pagamento.