F1
TastoEffeUno.it
La "Guida in linea" sul Web!
GUIDE
TUTORIALS
CORSI
TEMPLATE
VIDEO
QUIZ
GIOCHI DIDATTICI
Quiz CONCORSO PER L'ASSEGNAZIONE DI SEDI FARMACEUTICHE 2025
Suddivisione database ministeriale
GRUPPI DI QUESITI 301-330
301. Le benzodiazepine interagiscono a livello della neurotrasmissione
A) dopaminergica
B) adrenergica
C) gabaergica
D) serotoninergica
E) istaminergica
302. La scopolamina svolge azione:
A) lassativa
B) anestetica locale
C) procinetica
D) spasmolitica
E) sedativa
303. La carbidopa, avente la struttura indicata, è usata nella terapia del Parkinson in quanto
A) riduce il catabolismo della dopamina cerebrale
B) inibisce a livello periferico la trasformazione della levodopa in dopamina
C) inibisce il reuptake neuronale della dopamina cerebrale
D) attiva i recettori dopaminergici D2
E) aumenta la liberazione di dopamina
304. Le curve dose-risposta il cui tratto “lineare” viene a costituire un insieme di rette parallele sul piano x-y sono maggiormente probabili quando i farmaci hanno
A) struttura diversa
B) diversa disponibilità farmaceutica
C) uguale biodisponibilità
D) solubilità diversa
E) lo stesso meccanismo d’azione
305. Può il farmacista associare altro sanitario agli utili della farmacia?
A) si, sempre
B) no, mai
C) si, purchè non al fine di agevolare la diffusione di medicinali
D) si, purchè ciò non danneggi altre farmacie
E) si, purchè si tratti di altro farmacista
306. Il rilascio di un farmaco in sospensione in una matrice non porosa e non rigonfiabile può avvenire:
A) per disaggregazione della matrice
B) per dissoluzione della matrice
C) per dissoluzione del farmaco e diffusione attraverso la struttura polimerica della matrice
D) per migrazione delle particelle solide di farmaco verso il mezzo acquoso esterno al sistema
E) per dissoluzione della matrice e conseguente dissoluzione del farmaco in sospensione
307. Quale dei seguenti farmaci è utlizzato nello stato di male epilettico?
A) Alprazolam
B) Diazepam
C) Aloperidolo
D) Acido Valproico
E) Tiapride
308. E’ consentita alle farmacie la vendita di medicinali tramite internet?
A) no
B) si, ma solo per medicinali OTC e SOP e tramite siti web autorizzati
C) si, ad esclusione dei medicinali stupefacenti
D) si, rispettando esclusivamente quanto stabilito dal codice deontologico
E) si, nel solo rispetto delle norme sul commercio elettronico
309. La somministrazione di compresse sublinguali, quando possibile, è utilizzata per ottenere effetti sistemici:
A) Per evitare l’effetto di primo passaggio epatico
B) Per ottenere un assorbimento più rapido
C) Per la somministrazione di farmaci in pazienti immunocompromessi
D) Per la somministrazione di farmaci in pazienti con nausea e vomito
E) Più di un’indicazione è corretta
310. Il perossido di benzoile idrato deve essere conservato
A) in contenitore trattato per ridurre la carica elettrodstatica, con rilascio di sovrapressione, a temperatura tra 2 °C e 8 °C, protetto dalla luce
B) in contenitore a tenuta d’aria, protetto dalla luce
C) in contenitore ben chiuso, protetto dalla luce
D) sotto azoto
E) in contenitore con essiccante
311. Indicare a quale delle seguenti categorie di farmaci appartengono la nafazolina e la xilometazolina avente la struttura indicata
A) antipertensivi
B) decongestionanti nasali
C) uricosurici
D) tocolitici
E) anoressizzanti centrali
312. Ogni quanti anni viene rinnovata un’autorizzazione all’immissione in commercio?
A) ogni 5 anni indipendentemente da quante volte è stata rinnovata
B) dopo 5 anni dalla prima autorizzazione e poi l'autorizzazione ha validità illimitata, salvo che l'AIFA decida di procedere a un ulteriore rinnovo di durata quinquennale.
C) ogni dieci anni
D) ogni 5 anni per due volte e poi l’autorizzazione ha validità illimitata.
E) nessuna delle indicazioni è corretta
313. Il processo di “levigazione” è fondamentale per
A) unguenti di medicamenti liposolubili
B) le emulsioni di oli insolubili in acqua
C) le soluzioni acquose
D) gli unguenti di medicamenti insolubili nel veicolante
E) più di uno dei casi indicati
314. Quali dei seguenti rientra tra i sette principi fondamentali del sistema HACCP?
A) tenuta di uno specifico registro
B) individuazione di un responsabile
C) individuazione dei Punti Critici di Controllo
D) nessuna indicazione è corretta
E) definizione degli obiettivi di gestione alimentare
315. Quale, tra le sostanze sotto indicate, presenta come effetto farmacologico collaterale l’irsutismo?
A) minoxidil
B) fenobarbital
C) fenitoina
D) nessuna tra quelle indicate
E) più di una tra quelle indicate
316. L’acidificazione dell’urina diminuisce l’eliminazione dei farmaci a carattere acido
A) diminuendone la lipofilia
B) inibendone la secrezione tubulare attiva
C) diminuendo il riassorbimento tubulare per diffusione passiva
D) aumentandone il riassorbimento tubulare attivo
E) diminuendone la ionizzazione
317. Gli occhiali premontati per la correzione della presbiopia di 2 diottrie, in vendita presso farmacie, supermercati, ottici ed altri esercizi commerciali, normalmente sono:
A) dispositivi medici su misura
B) dispositivi medici di classe I
C) dispositivi di protezione individuale
D) dispositivi medici attivi
E) dispositivi diagnostici in vitro
318. Per quali di questi ingredienti utilizzati negli integratori alimentari, devono essere riportati in etichetta i Valori Nutritivi di Riferimento (VNR) ex Allegato XIII, Parte A, del Regolamento (UE) n. 1169/2011.
A) Glucosammina
B) Vitamina A
C) Magnesio
D) iperico
E) Creatina
319. L’assorbimento di levodopa, somministrata per os, avviene per
A) flusso di massa
B) diffusione semplice
C) trasporto mediato da carrier
D) pinocitosi
E) coppia ionica
320. Quale delle seguenti famiglie di principi attivi riconducibili agli oppiodi può essere ricollegata strutturalmente alla morfina?
A) benzomorfani
B) morfinani
C) fenilpiperidine
D) fenilpropilammine
E) tutte quelle indicate
321. Quale fra i seguenti è un requisito necessario per l’iscrizione all’Albo dei farmacisti?
A) avere meno di 65 anni
B) non aver mai riportato alcuna condanna in sede penale
C) non aver mai riportato alcuna condanna in sede disciplinare
D) avere la residenza o il domicilio o esercitare la professione nella circoscrizione dell’Ordine
E) non aver mai riportato alcuna condanna in sede civile
322. Qual è l’impiego terapeutico del ciclopentolato avente la struttura indicata?
A) antimuscarinico per uso oftalmico
B) antipertensivo
C) miorilassante
D) antipsicotico
E) più di una delle indicazioni è corretta
323. La flecainide, avente la struttura indicata, è un principio attivo utilizzato come
A) antianginoso
B) antiaritmico
C) anestetico locale
D) stimolante del SNC
E) deprimente del SNC
324. Il meccanismo d’azione del fenofibrato prevede l'interazione con
A) alle proteine che legano le penicilline (PBP)
B) i recettori istaminergici H2
C) la 3-idrossi-3-metilglutaril coenzima A (HMG-CoA) riduttasi
D) i recettori attivati dall’enzima di proliferazione del perossisoma (PPARs)
E) il trasportatore degli steroli, Niemann-Pick C1Like 1 (NPC1L1)
325. Quale dei seguenti agenti chemioterapici può produrre cistite emorragica
A) vinblastina
B) bleomicina
C) doxorubicina
D) ciclofosfamide
E) tutti i composti citati
326. Quale tra i farmaci antimicrobici seguenti riesce a provocare modificazioni del metabolismo energetico della cellula batterica?
A) Trimetoprim
B) Monobattami
C) Bacitracina
D) Amminoglicosidi
E) Più di uno di quelli indicati
327. A quale tipo di antibiotici potrebbe essere attribuito un composto avente la struttura indicata?
A) Tetracicline
B) Macrolidici
C) Ansamicine
D) Polienici
E) Cefalosporine
328. E' inclusa nei Livelli Essenziali d'Assistenza l'erogazione di prodotti dietetici destinati a soggetti affetti da:
A) celiachia
B) fibrosi cistica
C) malattie metaboliche congenite
D) nefropatia cronica
E) tutte le indicazioni fornite
329. Nella formulazione di un cosmetico è ammesso l'impiego di qualsiasi colorante?
A) si, purchè sicuro
B) no, solo quelli riportati nell’All. IV del Regolamento Europeo 1223/2009 e successive modifiche
C) Solo quelli alimentari
D) L'impiego dei coloranti per tinture è regolamentato dalle misure stabilite nell'Allegato III al Regolamento 1223/2009 che contiene l'elenco delle sostanze il cui uso è vietato nei prodotti cosmetici, salvo entro determinati limiti
E) nessuna delle indicazioni è corretta
330. La ciclosporina, quando destinata alle preparazioni farmaceutiche per somministrazione parenterale, dovrà soddisfare
A) a un più basso limite di impurezze
B) a un più basso limite di metalli pesanti
C) al saggio di sterilità e a un più basso limite di metalli pesanti
D) al saggio di sterilità ed al limite per le endotossine batteriche
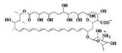
E) ad altri saggi