Quiz CONCORSO PER L'ASSEGNAZIONE DI SEDI FARMACEUTICHE 2025

Suddivisione database ministeriale

GRUPPI DI QUESITI 451-480

451. In quale caso è consentito che la pubblicità di un medicinale possa contenere elementi che potrebbero indurre il cittadino che volesse assumere il medicinale stesso a ritenere superflua la consultazione di un medico?
452. L'aminofillina è utilizzata nella terapia di:
453. Le intossicazioni da composti contenenti rame si trattano con
454. Quale delle seguenti sostanze viene impiegata nel rivestimento delle compresse come agente filmogeno gastroresistente?
455. I farmaci oxitocici sono farmaci che
456. Quale tra i seguenti antibiotici presenta ototossicità?
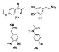
457. Con quale dei seguenti nomi viene anche indicata la vitamina PP ?
458. L'amlodipina, avente la struttura indicata, è utilizzata come antipertensivo. Quale delle affermazioni che lo riguardano è corretta?

459. Quali tra gli incidenti con dispositivi medico-diagnostici in vitro indicati devono essere comunicati dall'operatore sanitario al Ministero della Salute?
460. La principale causa di gastrolesività degli antinfiammatori non steroidei è rappresentata
461. Delle combinazioni sotto riportate, riguardanti le quattro strutture A, B, C e D che rappresentano due farmaci ed i corrispondenti metaboliti, individuare quella che si riferisce ai metaboliti

462. Per un farmaco biotecnologico è importante:
463. Una ricetta ripetibile in cui sia indicato un numero di confezioni superiore all’unità esclude la ripetibilità della dispensazione?
464. Nella profilassi antimalarica l’atovaquone si associa con:
465. Quale tra queste forme farmaceutiche è più occlusiva?
466. Il metimazolo riduce i livelli di T3 principalmente:
467. Il farmacista può svolgere attività di farmacovigilanza?
468. Quando il gruppo amminico del 6-APA viene acilato con il gruppo R sotto indicato, si ottiene l’amoxicillina, appartenente alla classe delle penicilline

469. Quale problema comporta l’uso del farmaco antifungino itraconazolo?
470. Per quale motivo le compresse rivestite con un prodotto che presenta un gruppo funzionale estereo e uno acido si solubilizzano facilmente a livello intestinale?
471. Da chi può essere promosso ricorso avverso la proclamazione dei risultati delle elezioni per il consiglio direttivo dell’Ordine dei Farmacisti?
472. Il triesifenidile, avente la struttura indicata, è utilizzato nella terapia del morbo di Parkinson. Esso agisce:

473. Quale dei seguenti principi attivi appartiene alla classe dei tiazolidindioni ipoglicemizzanti?
474. L’indometacina ha la struttura indicata. Quale delle indicazioni sotto riportate e ad essa riferite è corretta

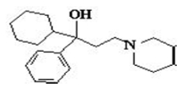
475. La nicotina, avente la struttura indicata, mima gli effetti dell’acetilcolina a livello di:

476. L’uso prolungato di cranberry o mirtillo rosso americano (succo di Vaccinium macrocarpon Ait.), può esporre al rischio di interazioni farmacologiche con farmaci:
477. Quale citocromo è coinvolto nei meccanismi di biotrasformazione di un farmaco:
478. Gli importi dei costi di preparazione indicati nella tariffa nazionale per la vendita al pubblico dei medicinali sono
479. Il metronidazolo NON è indicato in caso di:
480. Un cosmetico può contenerere spironolattone?

Patente nautica D1 2025

TastoEffeUno.it

Copyright 2022 - ASSODOLAB, Associazione Nazionale Docenti di Laboratorio

Ente accreditato e qualificato dal MIUR per la formazione del personale della Scuola - Direttiva 170 del 21/03/2016.
Via Cavour, 74 - 76015 TRINITAPOLI BT - Italy
Telefono 339.2661022 - P. IVA 03039870716

PRIVACY: Questo sito utilizza cookie di terze parti (Google AdSense, Google Analytics) per migliorare servizi ed esperienza dei lettori. MAGGIORI DETTAGLI

DICHIARAZIONE DI NON RESPONSABILITA': Il titolare del sito non si assume alcuna responsabilità per eventuali danni diretti o indiretti derivanti dall'uso delle informazioni presenti nel sito o non aggiornate. L'accesso e l'utilizzo del sito avvengono sotto la responsabilità dell'utente. Tutti i contenuti del sito sono usufruibili in maniera gratuita. Non viene mai richiesto dagli autori del sito di utilizzare carte di credito o altri strumenti di pagamento.