Quiz CONCORSO PER L'ASSEGNAZIONE DI SEDI FARMACEUTICHE 2025

Suddivisione database ministeriale

GRUPPI DI QUESITI 481-510

481. L'etoposide è un antineoplastico semisintetico derivato da:
482. Quale delle seguenti affermazioni sulla gomma guar è corretta?
483. L’insulina ricombinante si ottiene da cellule di:
484. Cosa si intende per “rintracciabilità" degli alimenti e dei mangimi?
485. Il principale bersaglio della tossicità cronica delle aflatossine è:
486. A quale classe di farmaci viene riferito il suffisso “dipina” nella Denominazione Comune?

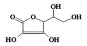
487. La serotonina contiene nella sua struttura il nucleo
488. Il farmacista può chiedere il diritto addizionale per i prodotti diversi dai medicinali?
489. Quali elementi è obbligatorio annotare nell’apposito registro dei veleni?
490. Le piante medicinali elencate possono essere tutte impiegate in preparazioni ad azione analgesicaantinfiammatoria tranne:
491. Il saggio di uniformità di massa di un lotto di capsule si esegue sulla base:
492. L'azione antipiretica degli antinfiammatori non steroidei è prevalentemente riconducibile a
493. Lo stimolo dei recettori nicotinici ad opera della acetilcolina determina a livello postsinapsico
494. Un farmaco A è più potente di B quando
495. La consistenza di una crema idrofila dipende principalmente
496. Quale dei seguenti farmaci non ha azione antimalarica?
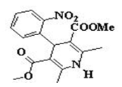
497. A quale classe farmacologica potrebbe essere attribuito un composto avente la struttura parziale indicata ed eventuali suoi analoghi?

498. Quale tra le affermazioni seguenti riguardanti le sostanze polimorfe è ERRATA:
499. La tossicità del cloramfenicolo nei neonati si manifesta con:
500. Quale dei seguenti principi attiii NON è un profarmaco
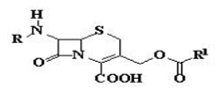
501. La fisostigmina, avente la struttura indicata, è classificabile come farmaco

502. L’acenocumarolo è un farmaco
503. Cos'é un farmaco tocolitico?
504. I due farmaci A e B mostrano le curve dose-effetto in figura. Quale delle affermazioni sotto elencate è corretta? Il farmaco A rispetto al farmaco B

505. L’enzima citoplasmatico responsabile dell’ossidazione di dosi medio-basse di etanolo è:
506. La fase farmacodinamica di un farmaco corrisponde a:
507. Quale delle seguenti sostanze viene impiegata come antidoto in caso di sovradosaggio da metotrexato?
508. I vaccini ricombinanti sono costituiti da:
509. Il composto avente la struttura indicata viene utilizzato come antiossidante nella preparazione delle forme farmaceutiche. Esso viene indicato come

510. I diuretici osmotici sono distribuiti nel fluido extracellulare; a ciò consegue estrazione di acqua dai compartimenti intracellulari e aumento di volume del liquido extracellulare. Per questi motivi tale classe di farmaci può provocare

Ricette e drink

TastoEffeUno.it

Copyright 2022 - ASSODOLAB, Associazione Nazionale Docenti di Laboratorio

Ente accreditato e qualificato dal MIUR per la formazione del personale della Scuola - Direttiva 170 del 21/03/2016.
Via Cavour, 74 - 76015 TRINITAPOLI BT - Italy
Telefono 339.2661022 - P. IVA 03039870716

PRIVACY: Questo sito utilizza cookie di terze parti (Google AdSense, Google Analytics) per migliorare servizi ed esperienza dei lettori. MAGGIORI DETTAGLI

DICHIARAZIONE DI NON RESPONSABILITA': Il titolare del sito non si assume alcuna responsabilità per eventuali danni diretti o indiretti derivanti dall'uso delle informazioni presenti nel sito o non aggiornate. L'accesso e l'utilizzo del sito avvengono sotto la responsabilità dell'utente. Tutti i contenuti del sito sono usufruibili in maniera gratuita. Non viene mai richiesto dagli autori del sito di utilizzare carte di credito o altri strumenti di pagamento.