F1
TastoEffeUno.it
La "Guida in linea" sul Web!
GUIDE
TUTORIALS
CORSI
TEMPLATE
VIDEO
QUIZ
GIOCHI DIDATTICI
Quiz CONCORSO PER L'ASSEGNAZIONE DI SEDI FARMACEUTICHE 2025
Suddivisione database ministeriale
GRUPPI DI QUESITI 541-570
541. Quale tra le seguenti non è una sanzione disciplinare prevista dalla normativa vigente?
A) la sanzione pecuniaria amministrativa
B) l'avvertimento
C) la sospensione
D) la radiazione
E) la censura
542. Quale dei principi attivi seguenti viene usato per arrestare la crescita dei tumori estrogeno-dipendenti in quanto ha la capacità di legarsi ai recettori degli estrogeni esplicando effetto antagonista?
A) etinilestradiolo
B) levonorgestrel
C) medrossiprogesterone
D) megestrolo
E) tamoxifene
543. Quali sono i prodotti oggetto di notifica nel sistema di allerta rapido “RASFF”?
A) integratori alimentari
B) alimenti
C) alimenti, mangimi, materiali e oggetti destinati a venire a contatto con gli alimenti (MOCA) e ai mangimi per animali da affezione (pet food)
D) farmaci
E) alimenti destinati ad una alimentazione particolare
544. Generalmente i soggetti parkinsoniani vanno incontro a forme depressive. L’associazione di un medicinale antidepressivo contenente fluoxetina con un’altro avente attività antiparkinson e contenente la selegilina (struttura indicata) NON è consigliabi
A) la fluoxetina agisce come antagonista sul recettore dopaminergico
B) la fluoxetina viene rapidamente metabolizzata in presenza di selegilina
C) si realizzerebbe a livello centrale un eccesso di serotonina che potrebbe essere pericoloso
D) la presenza di fluoxetina inibisce l’azione della selegilina
E) la fluoxetina agisce come antagonista sul recettore colinergico
545. I diuretici inibitori dell'anidrasi carbonica sono impiegati comunemente per la cura e la prevenzione del mal di montagna acuto in quanto
A) aumentano il volume dell'urina
B) riducono il volume del liquido extracellulare
C) diminuiscono la velocità di formazione del liquido cerebrospinale
D) riducono la quantità di HCO3- nel sangue
E) aumentano l'eliminazione urinaria di HCO3-
546. In quale classe, tra quelle riportate, può essere catalogato l’acido acetilsalicilico
A) amminoacidi
B) acidi eteroarilacetici
C) ammidi
D) anilidi
E) acetossiacidi
547. I FANS agiscono bloccando l’enzima
A) acetilcolinesterasi
B) lipoossigenasi
C) cicloossigenasi
D) aromatasi
E) GABA-transaminasi
548. I farmaci che inibiscono il CYP3A4:
A) possono aumentare la tossicità di farmaci metabolizzati dal CYP3A4
B) aumentano la clearance dei farmaci metabolizzati dal CYP3A4
C) diminuiscono la clearance dei farmaci metabolizzati dal CYP3A4
D) possono diminuire l'attività di profarmaci che vengono attivati dal CYP3A4
E) tutte le indicazioni tranne una sono corrette
549. Le polveri per inalazione sono descritte in F.U. ?
A) no, essendo preparazioni per uso esterno
B) si,in apposita monografia
C) no essendo preparazioni per uso otologico
D) no, essendo preparazioni per uso particolare
E) nessuna delle indicazioni è corretta
550. L'itraconazolo è utilizzato nelle micosi superficiali e sistemiche. La sua azione consiste nella:
A) inibizione della sintesi dell’ergosterolo
B) distruzione dell’aggregazione dei microtubuli durante la mitosi
C) inibizione della sintesi degli acidi nucleici
D) complessazione con l’ergosterolo della membrana plasmatica del fungo
E) inibizione della sintesi della parete cellulare
551. In riferimento a premiscele medicate e a prodotti intermedi quale delle seguenti affermazione non è corretta:
A) le premiscele medicate sono vendute direttamente a titolari di allevamento che le utilizzano
B) i prodotti intermedi sono venduti ai titolari autorizzati alla produzione di mangimi medicati per autoconsumo aziendale in allevamento
C) sono prodotti prescritti e acquistati dietro presentazione di ricetta medica veterinaria elettronica
D) gli operatori del settore dei mangimi sono identificati e registrati nel SINVSA del Ministero della salute
E) nessuna delle indicazioni è corretta
552. Ai sensi del regolamento (CE) n. 1223/2009, le sostanze contenute nell'allegato II
A) non possono essere presenti nella composizione di prodotti cosmetici
B) possono essere presenti nella composizione dei cosmetici
C) devono essere espressamente autorizzate se presenti nella composizione dei cosmetici
D) sono obbligatorie nella composizione dei cosmetici
E) sono facoltative nella composizione dei cosmetici
553. Qual è il limite di prescrizione per i medicinali stupefacenti della tabella dei medicinali sez. A per uso veterinario?
A) una sola preparazione senza limite di dosaggio
B) una o più preparazioni purchè con dosaggio globale non superiore ad 8 giorni di terapia
C) un solo medicinale in quantità per un massimo di trenta giorni di terapia
D) più di una indicazione è corretta
E) due medicinali diversi tra loro o uno stesso medicinale in due forme farmaceutiche o in due dosaggi per un massimo di trenta giorni di terapia
554. Il farmacista può rifiutarsi di dispensare medicinali soggetti a prescrizione in assenza di ricetta?
A) si, sempre
B) no, se ricorrono le condizioni previste dalla normativa che consente tale dispensazione in caso di necessità e urgenza
C) no, se si tratta di medicinali erogabili a carico dell’SSN
D) no, se si tratta di medicinali oppiacei per la terapia del dolore
E) si, se effettua il servizio “a chiamata”
555. I diuretici inibitori dell'anidrasi carbonica aumentano l'escrezione urinaria di acido urico e cistina, aventi le strutture indicate, in quanto provocano
A) alcalosi metabolica
B) alcalinizzazione della urina
C) fosfaturia e ipercalciuria
D) acidosi metabolica ipercloremica
E) iperkaliuria
556. Sono tenuti alla registrazione presso il Ministero della Salute:
A) solo i fabbricanti di dispositivi medicodiagnostici in vitro con sede in Italia
B) solo ii fabbricanti di dispositivi medicodiagnostici in vitro con sede fuori dal territorio della UE
C) tutti i fabbricanti di dispositivi medicodiagnostici in vitro che immettono in commercio prodotti sul territorio italiano
D) solo i fabbricanti di dispositivi medicodiagnostici in vitro con sede nel territorio della UE
E) nessuna delle indicazioni date è corretta
557. Quale parametro di una polvere è fondamentale misurare al fine del corretto riempimento di capsule di gelatina rigida?
A) La forma delle particelle
B) La densità vera
C) La distribuzione granulometrica
D) La densità particellare
E) La densità apparente al versamento
558. Quali delle seguenti sostanze può avere effetti teratogeni:
A) vitamina A
B) Cloramfenicolo
C) Amfetamina
D) Metotrexato
E) più di una tra quelle indicate
559. La mebeverina, avente la struttura indicata, viene utilizzata come
A) antalgico per i muscoli scheletrici
B) miorilassante di tipo papaverinico
C) miorilassante centrale di tipo meprobamato
D) spasmolitico di tipo anticolinergico
E) miorilassante di tipo curarico
560. Gli antimetaboliti virali agiscono
A) sul virus extracellulare
B) nella fase di penetrazione
C) nella fase di replicazione
D) nella induzione di interferone
E) nella fase di produzione delle proteine virali
561. Alcuni dei principali effetti collaterali della terapia sistemica con glucocorticoidi sono:
A) ulcera duodenale, ipotensione, aumentata suscettibilità alle infezioni
B) arrotondamento del viso, iperglicemia, atrofia del surrene, aumentata suscettibilità alle infezioni
C) ipoglicemia, tachicardia
D) epatiti, ipoglicemia
E) emorragie, mialgie, epatiti
562. La lidocaina, avente la struttura indicata, può essere impiegata come:
A) anestetico locale
B) antiaritmico
C) ipnoinducente
D) antiasmatico
E) solo due indicazioni sono corrette
563. I corticosteroidi esplicano la loro azione farmacologica:
A) attivando una proteina G
B) legandosi a recettori citosolici
C) legandosi a recettori sulla membrana plasmatica
D) legandosi a recettori sul reticolo endoplasmatico
E) con un effetto non mediato da recettore
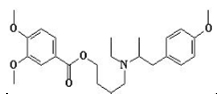
564. Il gemfibrozil, avente la struttura indicata, è un farmaco
A) ipoglicemizzante
B) per lo scompenso cardiaco
C) antipertensivo
D) ipolipidemizzante
E) diuretico risparmiatore di K+
565. Il metabolismo può rendere un farmaco:
A) meno attivo
B) inattivo
C) più attivo
D) meno tossico
E) tutte le risposte sono corrette
566. Il meccanismo d’azione dell’irinotecan prevede:
A) l’inibizione delle proteasi
B) l’inibizione delle girasi
C) l’inibizione della topoisomerasi
D) l’inibizioni delle lattamasi
E) nessuno di questi meccanismi
567. Quale, tra le coppie farmaco - enzima sotto elencate, rappresenta l’enzima ed il corrispondente inibitore?
A) (captopril) - (tirosina idrossilasi)
B) (alfa-metildopa) - (triptofano 5-idrossilasi)
C) (selegilina) - (aldeide deidrogenasi mitocondriale)
D) (simvastatina) - (aromatico Lamminoacido decarbossilasi)
E) (alfa-metil tirosina) - (tirosina idrossilasi)
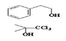
568. Il feniletanolo ed il clorobutanolo, aventi le strutture indicate, sono utilizzati come antibatterici nelle forme farmaceutiche. Quale delle affermazioni riportate è corretta
A) il clorobutanolo è stabile in un largo intervallo di pH (3 - 8)
B) i due composti non possono essere utilizzati per le preparazioni oftalmiche
C) il feniletanolo è stabile in un ristretto intervallo di pH
D) il feniletanolo presenta effetto sinergico con molti altri antibatterici
E) i due composti sono tra loro incompatibili
569. In quali delle seguenti forme farmaceutiche è disponibile l’aciclovir?
A) compresse
B) unguento oftalmico
C) crema
D) sospensione orale
E) tutte le indicazioni sono corrette
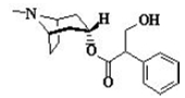
570. La l-iosciamina ha la struttura sotto indicata. Quale delle affermazioni riportate e riguardanti le sue proprietà rispetto a quelle dell’atropina è ERRATA?
A) la l-iosciamina, come l’atropina, è un estere fra il tropanolo e l’acido tropico
B) la l-iosciamina ha un’attività farmacologica più elevata rispetto all’atropina
C) nelle specialità medicinali è largamente più rappresentata l’atropina che la l-iosciamina
D) la l-iosciamina è la forma racemica dell’atropina
E) l-Iosciamina ed atropina presentano entrambe attività spasmolitiche