F1
TastoEffeUno.it
La "Guida in linea" sul Web!
GUIDE
TUTORIALS
CORSI
TEMPLATE
VIDEO
QUIZ
GIOCHI DIDATTICI
Quiz CONCORSO PER L'ASSEGNAZIONE DI SEDI FARMACEUTICHE 2025
Suddivisione database ministeriale
GRUPPI DI QUESITI 571-600
571. Quale, tra le seguenti tecniche di preparazione di liposomi, risulta particolarmente vantaggiosa per la riproducibilità e scale up industriale?
A) emulsione con evaporazione del solvente
B) thin layer evaporation
C) reverse phase evaporation
D) microfluidica
E) polimerizzazione interfacciale
572. I recettori muscarinici sono
A) recettori di membrana associati a proteine G
B) recettori porinici
C) recettori citosolici
D) recettori nucleari
E) nessuna indicazione è corretta
573. A quale delle miscele sotto indicate si avvicina maggiormente la composizione di una soluzione idroalcoolica al 30% v/v?
A) 30 g di etanolo assoluto e 70 g di acqua
B) 30 ml di etanolo assoluto e 70 ml di acqua
C) 30 g di etanolo assoluto e 70 ml di acqua
D) 40 g di etanolo al 96% e 60 g di acqua
E) 40 ml di etanolo al 96% e 60 ml di acqua
574. La clonidina diminuisce la liberazione di noradrenalina dai terminali adrenergici:
A) attivando recettori beta adrenergici
B) bloccando recettori alfa2 adrenergici postsinaptici
C) bloccando recettori alfa1 adrenergici
D) attivando recettori alfa1 adrenergici
E) attivando recettori alfa2 adrenergici
575. Tenendo presente l’azione farmacologica e quindi la principale utilizzazione terapeutica indicare,tra quelli sotto riportati, i presidi sanitari nei quali razionalmente la presenza di “sodio cloruro soluzione ipertonica” per uso parenterale è present
A) in nessuno dei presidi indicati
B) in tutti i presidi indicati
C) nelle farmacie aperte al pubblico ed ospedaliere
D) nella qualunque farmacia aperta al pubblico
E) nella farmacia ospedaliera
576. Le compresse gastroresistenti sono compresse a rilascio:
A) immediato
B) modificato
C) tradizionale
D) nessuna indicazione è corretta
E) più di una indicazione è corretta
577. Un principio attivo contenuto in un medicinale di origine industriale in commercio esclusivamente in Canada può essere impiegato in una preparazione galenica?
A) no
B) sì
C) solo se presente anche in una Farmacopea in vigore in UE
D) solo se il medico se ne assume la responsabilità
E) solo dietro presentazione di RNR
578. La preparazione di saccarosio sciroppo (sciroppo semplice) è riportata nella F.U.:
A) in tab. 8
B) solo per impieghi di correzione del sapore
C) in apposita monografia
D) solo per la correzione del gusto di un’emulsione a uso orale
E) solo per uno sciroppo assolutamente privo di conservanti
579. Quale delle seguenti sostanze viene impiegata come rivestimento gastrosolubile di compresse:
A) polivinilacetoftalato
B) copolimeri metacrilato - acido metacrilico
C) acetoftalato di cellulosa
D) ftalato di idrossipropilmetilcellulosa
E) idrossipropilmetilcellulosa
580. Gli isomeri configurazionali di tipo “geometrico”
A) sono separati tra loro da barriere energetiche facilmente superabili
B) si trasformano l’uno nell’altro a temperatura ambiente
C) possono modificare la loro “geometria” per favorire l’interazione con il recettore
D) tutte le indicazioni fornite sono errate
E) sono sovrapponibili
581. L’omeprazolo, utilizzato come antiulcera, agisce con un meccanismo che
A) blocca i recettori H2 dell’istamina
B) blocca i recettori della acetilcolina
C) attiva la secrezione di muco protettivo dalle cellule parietali dello stomaco
D) blocca la pompa H+, K+ ATPasi gastrica
E) non è ancora del tutto chiarito
582. Il termine Efficienza % di incapsulazione identifica:
A) la quantità effettiva di farmaco incapsulato in micro o nano¬particelle rispetto alla quantità di farmaco impiegata in fase di preparazione
B) la quantità effettiva di farmaco incapsulato in micro o nano¬particelle rispetto alla quantità di polimero impiegato in fase di preparazione
C) la quantità teorica di farmaco incapsulato in micro o nano¬particelle
D) l’effettiva quantità di farmaco incapsulato in micro o nano¬particelle
E) la resa % di produzione di un lotto di micro o nanoparticelle
583. Tutte le seguenti sono reazioni avverse aspecifiche tranne una, indicare quale:
A) ulcera gastrica da aspirina
B) pancreatite da diuretici
C) sindrome oculomucocutanea da practololo
D) tosse da ace-inibitori
E) cefalea da nitrati
584. La ciproeptadina, avente la formula indicata,
A) non presenta isomeria geometrica ma presenta isomeria ottica
B) rappresenta l’isomero cis
C) non presenta isomeria ottica ma presenta isomeria geometrica
D) non presenta né isomeria ottica né isomeria geometrica
E) rappresenta l’isomero trans
585. Il rilascio di un farmaco da una matrice porosa, non rigonfiabile e non biodegradabile, in un mezzo acquoso esterno ad essa, avviene:
A) per contestuale penetrazione del mezzo acquoso nei capillari della matrice, dissoluzione in esso del farmaco e diffusione verso l’esterno
B) per dilatazione dei pori della matrice e conseguente dissoluzione del farmaco nel mezzo acquoso
C) per disaggregazione della matrice
D) per lenta erosione della matrice e contestuale dissoluzione del farmaco
E) più di una indicazione è corretta
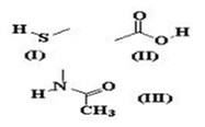
586. Le strutture indicate rappresentano composti utilizzabili come additivi in tecnica farmaceutica. Quale degli accoppiamenti (struttura - caratteristiche) sotto riportati è corretto
A) (I) - anfolitica
B) (II) - non ionica
C) (III) - non ionica
D) più di una indicazione è corretta
E) tutte le indicazioni sono corrette
587. Gli Ordini dei Farmacisti hanno carattere:
A) provinciale
B) comunale
C) regionale
D) provinciale o Interprovinciale
E) regionale o Interegionale
588. L’acetilcisteina contiene i tre gruppi funzionali aventi la struttura sotto indicata. Quale, tra i gruppi funzionali indicati, è il responsabile dell’attività mucolitica del principio attivo? Il gruppo
A) sulfidrilico (I)
B) carbossilico (II)
C) acetammidico (III)
D) tutti quelli indicati
E) più di uno di quelli indicati
589. Quale dei seguenti antitumorali agisce nel primissimo stadio del processo di sintesi degli acidi nucleici ?
A) citarabina
B) doxorubicina
C) fluorouracile
D) metotrexato
E) tioguanina
590. La porzione strutturale di molecola più direttamente responsabile dei processi farmacodinamici correlati al meccanismo d’azione degli antibiotici beta-lattamici è rappresentata
A) dalla porzione costituita dal ciclo a sei termini
B) dalla porzione costituita dal ciclo a quattro termini
C) dalla porzione costituita dal ciclo a cinque termini
D) dalla porzione ammidica non ciclica
E) da nessuna delle porzioni molecolari sopra indicate
591. Nel trattamento delle infezioni da Helicobacter pylori si usa l’associazione
A) tetraciclina - gentamicina
B) claritromicina - metronidazolo - omeprazolo
C) ampicillina - gentamicina omeprazolo
D) tetraciclina - streptomicina
E) piperacillina - tobramicina - omeprazolo
592. L’isoprenalina, avente la struttura indicata, rilascia la muscolatura liscia bronchiale in quanto:
A) libera noradrenalina dalle vescicole sinaptiche dei terminali simpatici
B) inibisce il reuptake neuronale di noradrenalina
C) stimola i recettori beta adrenergici
D) stimola i recettori alfa adrenergici
E) ha un’azione sulle miocellule non mediata da recettori
593. Gli acidi grassi essenziali omega-3 hanno effetti:
A) ipolipemizzanti
B) ipoglicemizzati
C) antitrombotici
D) antiulcera
E) più di una indicazione è corretta
594. L'uso della pillola contraccettiva di quale dei farmaci elencati prolunga la durata di azione in caso di uso simultaneo?
A) ampicillina
B) fenitoina
C) buspirone
D) oxazepam
E) diazepam
595. Le sostanze ad azione psichedelica sono sostanze d’abuso. Ad esse NON appartiene
A) mescalina
B) LSD
C) destrometorfano
D) psilocibina
E) metilendiossimetamfetam ina (MDMA struttura indicata)
596. Un farmaco che stimola i recettori beta1 e beta2 adrenergici può causare:
A) riduzione della frequenza cardiaca
B) riduzione delle resistenze periferiche totali
C) contrazione della muscolatura liscia bronchiale
D) riduzione della liberazione di renina
E) riduzione della forza di contrazione del miocardio
597. Quale delle seguenti attività meglio descrive il meccanismo d’azione delle benzodiazepine?
A) blocco dell’attività eccitatoria dell’acido glutammico
B) inibizione dell’enzima GABA transaminasi
C) attivazione dei recettori della glicina nel midollo spinale
D) facilitazione dell’aumento della conduttanza al cloro mediata dal GABA
E) aumento dell’attività dell’enzima adenilato ciclasi
598. Spironolattone e canrenone sono diuretici K+risparmiatori. La loro azione diuretica ed efficacia clinica dipende da
A) inibizione dei canali del Na+ dell'epitelio renale
B) fattori diversi da quelli indicati
C) i livelli di aldosterone endogeno
D) velocità di filtrazione glomerulare
E) pH urinario
599. Qual è l’impiego del carbonato di litio in terapia?
A) trattamento e profilassi degli episodi maniacali
B) ansiolitico
C) agente alcalinizzante
D) ipnoinducente
E) neurolettico avente lo stesso profilo di azione dell’aloperidolo
600. L'impiego di poliacrilati riguarda la tecnica di
A) rivestimento
B) micronizzazione
C) emulsionamento
D) filtrazione
E) macinazione