F1
TastoEffeUno.it
La "Guida in linea" sul Web!
GUIDE
TUTORIALS
CORSI
TEMPLATE
VIDEO
QUIZ
GIOCHI DIDATTICI
Quiz CONCORSO PER L'ASSEGNAZIONE DI SEDI FARMACEUTICHE 2025
Suddivisione database ministeriale
GRUPPI DI QUESITI 601-630
601. La vancomicina è usata in caso di
A) colite ulcerosa
B) colite associata al trattamento con antibiotici
C) paratifo
D) giardiasi
E) amebiasi
602. Quale dei seguenti organi o sistemi rappresenta un bersaglio della tossicità delle diossine:
A) sistema immunitario
B) apparato cardiovascolare
C) genoma
D) fegato
E) più di una indicazione è corretta
603. Tra gli eccipienti per preparati farmaceutici da preparare come polveri, il biossido di silicio colloidale è utilizzato come
A) glidante
B) conservante
C) edulcorante
D) bagnante
E) lubrificante
604. Le figure 1 e 2 rappresentano l’andamento delle curve dose-effetto di un farmaco. Esse differiscono in quanto
A) i valori delle ascisse nella Fig 2 sono riportati in forma logaritmica
B) i valori delle ascisse nella Fig 1 sono riportati in forma logaritmica
C) si riferiscono a due antagonisti con pari potenza
D) i valori delle ascisse, sia nella Fig 1 che nella 2, sono riportati in forma logaritmica
E) i valori delle ordinate nella Fig 1 sono riportati in forma logaritmica
605. Zanamivir si somministra per via:
A) inalatoria e endovenosa
B) endovenosa
C) topica
D) intramuscolare
E) rettale
606. Quale dei seguenti strumenti NON è utilizzabile per determinare le dimensioni delle particelle di un campione di polvere:
A) microscopio
B) setacci
C) apparecchio di Andreasen
D) apparecchio di Ostwald
E) contatore di Coulter
607. Il saggio di uniformità di contenuto delle forme farmaceutiche a dose unica si basa sulla determinazione:
A) dei contenuti individuali di principio attivo in un numero di unità a dose unica
B) del contenuto medio del campione di unità a dose unica
C) delle masse individuali del campione di unità a dose unica
D) tutte le indicazioni sono corrette
E) nessuna indicazione è corretta
608. I farmaci ACE-inibitori regolarizzano la pressione arteriosa da soli o in associazione con altri farmaci antipertensivi nella grande maggioranza di pazienti affetti da ipertensione arteriosa di media intensità. E' condivisa l'opinione che gli ACE-ini
A) riducono l'incidenza di vasculopatie cerebrali nei pazienti a rischio
B) riducono l'incidenza di infarto miocardico nei pazienti a rischio
C) limitano la nefropatia
D) rallentano il progresso delle lesioni ateromasiche delle arterie
E) piu' di una indicazione è corretta
609. La digossina, se somministrata a pazienti con funzionalità renale nei limiti della norma, ha un tempo di dimezzamento (t1/2) di circa
A) 1,5 giorni
B) 1 settimana
C) 10 ore
D) 3 giorni
E) 12 ore
610. Possono essere venduti al pubblico medicinali per i quali l’autorizzazione all’immissione in commercio sia stata revocata?
A) no, mai
B) si, sempre
C) si, entro il termine eventualmente previsto per lo smaltimento delle scorte
D) si, purchè non sia stata revocata anche l’autorizzazione alla produzione
E) si, purchè non sia stato contemporaneamente disposto anche il sequestro
611. Il coefficiente di ripartizione n-ottanolo/acqua è un descrittore che, per la molecola in studio, caratterizza della molecola le proprietà
A) steriche
B) idrofobiche
C) elettroniche
D) configurazionali
E) conformazionali
612. Indicare quale delle seguenti potenziali sostanze d'abuso è classificabile tra gli antipsicotici a struttura fenilisopropilamminica
A) amfetamina
B) efedrina
C) ecstasy
D) tutte quelle indicate
E) catina (struttura indicata)
613. Il prelievo dei medicinali in regime di dispensazione convenzionata con il SSN da parte degli assistiti nel caso di ricetta dematerializzata:
A) è liberamente effettuabile nell’ambito del territorio nazionale
B) è effettuabile esclusivamente nel territorio regionale
C) è effettuabile esclusivamente nel territorio provinciale
D) non è liberamente effettuabile nelle regioni a Statuto Autonomo
E) più din un'indicazione è corretta
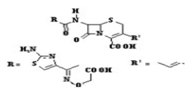
614. Su quale dei bersagli elencati agisce la cefixima, avente la struttura indicata?
A) sintesi proteica ribosomiale
B) membrana citoplasmatica
C) parete cellulare batterica
D) acidi nucleici della cellula batterica
E) metabolismo energetico della cellula batterica
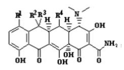
615. Quale tipo di interazione determina la riduzione dei livelli ematici di tetracicline, aventi la struttura generale indicata, in seguito a contemporanea assunzione dell’antibiotico e di alimenti ricchi di calcio?
A) interazione elettrostatica
B) inibizione enzimatica
C) complessazione
D) sinergismo
E) tutte le indicazioni sono corrette
616. L’azione profilattica dei beta-antagonisti nell’angina pectoris consegue a
A) diminuita richiesta di O2 da parte del cuore
B) aumento del flusso coronarico
C) ridistribuzione del flusso coronarico
D) inibizione degli spasmi delle coronarie
E) diminuzione del precarico
617. In quale caso è obbligatorio conservare l’originale della richiesta di approvvigionamento ex art. 42 DPR 309/90?
A) in nessun caso in quanto basta conservare la fotocopia di ogni ricetta spedita
B) nessuna delle risposte è corretta
C) nel caso di richiesta di farmaci destinati ad animali da compagnia
D) nei casi in cui manca la data o la firma del medico
E) nel caso di richiesta di sostanze contrassegnate con un asterisco in F.U.
618. La sostanza attiva Tazobactam esplica la sua azione
A) inibisce le beta-lattamasi
B) nel medicinale autorizzato è in associazione con piperacillina sodica
C) in associazione con piperacillina amplia lo spettro di azione verso batteri Gram-positivi e Gram-negativi
D) nel medicinale autorizzato è in associazione con ceftolozano solfato
E) le risposte sono corrette
619. Si devono preparare 300 ml di una soluzione di HCl 0,2 M disponendo di HCl 6 M. Entro quale intervallo ricade la quantità di HCl 6 M da prelevare?
A) 5 - 15 ml
B) 100 - 120 ml
C) 80 - 95 ml
D) 0,5 - 1,5 ml
E) nessuno di quelli indicati
620. Il PHT (prontuario Ospedale Territorio) è:
A) un elenco di farmaci di fascia H
B) un elenco di farmaci per i quali è previsto Piano Terapeutico
C) C.un elenco di farmaci per i quali è prevista anche la possibilità di distribuzione diretta
D) un elenco di farmaci per i quali sono previste le note AIFA
E) un elenco di farmaci dispensabili con ricetta limitativa
621. Quale fra le seguenti non è una funzione attribuita dalla legge all’Ordine dei farmacisti?
A) dichiarare la decadenza della titolarità della farmacia
B) rilasciare la certificazione del pieno soddisfacimento dell'obbligo formativo triennale
C) rilasciare un parere sulla pianta organica delle farmacie
D) vigilare alla conservazione del decoro e della indipendenza dell'Ordine
E) interporsi, se richiesto, nelle controversie tra sanitario e sanitario
622. Sumatriptan e zolmitriptan, agonisti dei recettori serotoninergici, vengono impiegati clinicamente in una delle seguenti patologie:
A) parkinsonismo
B) epilessia
C) emicrania
D) insufficienza cerebrovascolare acuta
E) detossificazione lenta dell’eroinomane
623. Per anticorpo monoclonale umanizzato si intende una immunoglobulina
A) estratta da plasma umano
B) ottenuta immunizzando un soggetto umano
C) in cui le sequenze che riconoscono l'antigene sono murine
D) ottenuta per via sintetica
E) in cui la regione costante ( Fc ) è murina
624. I curari sono
A) antagonisti dell’acetilcolina ai recettori nicotinici delle giunzioni neuromuscolari
B) antagonisti dell’acetilcolina ai recettori muscarinici
C) antagonisti della serotonina ai recettori 5- HT1
D) attivatori dei recettori postgangliari del sistema simpatico
E) attivatori dei recettori nicotinici presenti alle sinapsi gangliari
625. Le cicloossigenasi sono:
A) isoenzimi implicati nella biosintesi delle prostaglandine
B) enzimi coinvolti nel ciclo di Krebs
C) enzimi deputati alla biosintesi del GABA
D) enzimi deputati al catabolismo ossidativo
E) enzimi coinvolti nella catena respiratoria
626. Nella terapia antipertensiva vengono usati
A) beta1-agonisti
B) antagonisti ai recettori H2 dell’istamina
C) agonisti della noradrenalina ai recettori alfa1
D) diuretici
E) attivatori dei canali del Ca2+
627. Indicare quale dei seguenti composti NON interagisce con i recettori GABA-A:
A) barbiturici
B) benzodiazepine
C) alcaloidi dell'oppio a struttura fenantrenica
D) zolpidem
E) etanolo
628. La digitale aumenta la forza di contrazione cardiaca. Quale dei seguenti meccanismi è associato a tale effetto?
A) attivazione della adenil ciclasi
B) blocco dei canali del Na+
C) attivazione dei canali lenti del Ca2+
D) inibizione della Na+, K+ATPasi
E) blocco della H+, K+ATPasi
629. I limiti di accettabilità per le aflatossine nelle droghe vegetali sono richiesti dalla F.U.:
A) mai
B) solo per le radici
C) solo per le foglie
D) sempre
E) quando necessario
630. Quale delle seguenti affermazioni sul nitrito di isoamile NON è corretta
A) è una sostanza volatile
B) è infiammabile
C) è poco solubile in acqua
D) forma miscele esplosive con l'aria o con l’ossigeno
E) si somministra sia per inalazione che per via intravenosa