F1
TastoEffeUno.it
La "Guida in linea" sul Web!
GUIDE
TUTORIALS
CORSI
TEMPLATE
VIDEO
QUIZ
GIOCHI DIDATTICI
Quiz CONCORSO PER L'ASSEGNAZIONE DI SEDI FARMACEUTICHE 2025
Suddivisione database ministeriale
GRUPPI DI QUESITI 751-780
751. Il corretto dosaggio pediatrico viene effettuato:
A) calcolando la dose/kg di peso corporeo
B) somministrando metà del dosaggio previsto per l’adulto
C) valutando il profilo farmacocinetico e farmacodinamico del farmaco, in relazione all’età ed al peso del paziente
D) somministrando un quarto del dosaggio previsto per l’adulto
E) valutando il profilo farmacocinetico e farmacodinamico del farmaco
752. In quali punti vendita può essere fatta la commercializzazione dei prodotti cosmetici che vantano in etichetta proprietà terapeutiche?
A) nelle profumerie
B) in nessuno in quanto tale vendita costituisce un illecito amministrativo
C) in nessuno in quanto tale vendita costituisce un illecito penale
D) esclusivamente in farmacia
E) in farmacia se il prodotto è stato registrato come cosmetico con proprietà terapeutiche
753. Quale delle affermazioni seguenti riguardanti il glucagone è errata
A) la sua attività ipoglicemizzante si protrae per alcune ore
B) determina un aumento del rilascio di glucosio
C) si usa per le emergenze ipoglicemiche
D) possiede azione inotropa positiva
E) è un prodotto costituito da una sequenza di 29 amminoacidi
754. Chi autorizza le farmacie all’acquisto di sostanze stupefacenti?
A) il Ministero della Salute
B) la Regione
C) l’Azienda Sanitaria Locale
D) l’autorità di pubblica sicurezza
E) non è necessaria alcuna autorizzazione
755. Quale tra quelle elencate è un’indicazione d’uso della nafazolina?
A) malattia da movimento
B) congestione della congiuntiva
C) secchezza oculare
D) ipertensione
E) nessuna indicazione è corretta
756. Quale delle affermazioni sotto riportate e riguardanti il principio attivo che va sotto il nome di algeldrato è corretta?
A) è un sale di magnesio
B) provoca stipsi
C) è un gel di idrossido di alluminio
D) è un citrato di alluminio e sodio
E) più di una delle indicazioni fornite è corretta
757. Quali effetti collaterali può provocare l’uso di nitrati organici?
A) mal di testa
B) ipotensione posturale
C) nausea
D) polso accelerato
E) tutti quelli citati
758. Relativamente al picosolfato di sodio, quale delle affermazioni riportate è corretta?
A) è un profarmaco che viene idrolizzato a farmaco attivo nello stomaco
B) è un profarmaco che viene idrolizzato a farmaco attivo nel colon
C) la forma di sciroppo in commercio non è utilizzabile in età pediatrica
D) la forma farmaceutica di compresse è preferibile che si disgreghi a livello intestinale
E) è in commercio anche in forma di supposte per impedire l’irritazione gastrica
759. Da quale ente viene rilasciata la qualifica di farmaco orfano?
A) dal Ministero della Salute
B) dal Ministero della Salute di concerto con il Ministero dell'Economia e delle Finanze
C) dall'Agenzia Europea per i Medicinali
D) unicamente dall'Agenzia Italiana del Farmaco
E) dall'Istituto Superiore di Sanità
760. Secondo il Regolamento (UE) 2025/2283 una sostanza o un prodotto vanno considerati come “novel food” quando:
A) non hanno fatto registrare una storia di consumo significativo in ambito comunitario deponente a favore della sicurezza
B) presentano struttura molecolare nuova o volutamente modificata che non era utilizzata come alimento o in un alimento nell'Unione prima del 15 maggio 1997
C) sono addizionati con vitamine e minerali in modo da superare le dosi giornaliere raccomandate (rda) con le usuali razioni
D) non sono mai stati impiegati come alimenti in europa e nel resto del mondo
E) sono estratti di piante ammesse come ingredienti alimentari
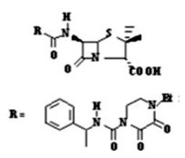
761. L’Amoxicillina è:
A) Una cefalosporina ad ampio spettro e acidoresistente
B) Una penicillina resistente alle beta-lattamasi
C) Una penicillina ad ampio spettro e acido-resistente
D) Una cefalosporina attiva contro Pseudomonas aeruginosa
E) Una cefamicina resistente alle beta-lattamasi
762. L’azione dell’amiodarone sulle correnti ioniche della miocellula ventricolare ha come conseguenza
A) un aumento della velocità di conduzione
B) un aumento dell’automatismo cardiaco
C) un aumento del potenziale di membrana
D) una diminuita velocità di ripolarizzazione
E) una diminuita durata del potenziale d’azione
763. L’utilizzazione terapeutica di un principio attivo presuppone in molti casi la presenza di eccipienti necessari per preparare la forma farmaceutica opportuna. Quale, tra le indicazioni seguenti è corretta per il sodio edetato? E'
A) un levigante
B) un chelante
C) un diluente
D) un tensioattivo
E) nessuna indicazione è corretta
764. Quante copie sono previste per buono-acquisto stupefacenti conforme al modello approvato con D.M. 18.12.2006?
A) due copie
B) quattro copie
C) due copie per medicinali della Tab. II sez. B e C e tre per quelli della Tabella II sez. A
D) tre copie
E) tre copie per i medicinali della Tabella II Sez. B e C e quattro copie per quelli della Tabella II Sez. A
765. Nella preparazione delle supposte, i polietilenglicoli sono impiegati come
A) eccipienti liposolubili
B) plastificanti
C) base idrosolubile
D) regolatori del punto di fusione
E) conservanti
766. Le benzodiazepine provocano:
A) convulsioni
B) ansia
C) dipendenza psichica
D) ipotiroidismo
E) amnesia retrograda
767. Le strutture indicate rappresentano composti utilizzabili come additivi in tecnica farmaceutica. Quale degli accoppiamenti (struttura - caratteristiche) sotto riportati è corretto?
A) (I) - anionica
B) (II) - cationica
C) nessuna indicazione è corretta
D) (II) - anionica
E) (III) - anionica
768. Su quale dei bersagli elencati agisce il trimetoprim?
A) sintesi proteica ribosomiale
B) membrana citoplasmatica
C) metabolismo energetico della cellula batterica
D) diidrofolato reduttasi batterica
E) più di uno
769. Le proteine terapeutiche svolgono la loro azione grazie a:
A) Assorbimento cutaneo veloce
B) Conformazione tridimensionale che permette riconoscimento recettoriale o attività enzimatica
C) Composizione aminoacidi in forma libera
D) Sequenza di amminoacidica che si adatta alle esigenze terapeutiche del paziente
E) Aggregazione nel sito di iniezione e stimolazione del sistema immunitario
770. Quale delle seguenti affermazioni è corretta riguardo alla gestione dei medicinali a base di costituenti del sangue (emoderivati) in farmacia?
A) per la gestione di tutti i medicinali a base di costituenti del sangue è obbligatorio tenere un registro di entrata e uscita specifico, simile a quello degli stupefacenti
B) questi medicinali sono soggetti a particolari controlli di tracciabilità, ma non richiedono un registro di carico e scarico dedicato in farmacia
C) questi medicinali, una volta dispensati, non sono soggetti ad alcun tipo di tracciabilità post – vendita da parte della farmacia
D) la dispensazione di medicinali emoderivati in farmacia è vietata dalla legge, essendo gestita esclusivamente dagli ospedali
E) le farmacie non hanno alcun obbligo di conservare la documentazione di acquisto dei medicinali a base di costituenti del sangue
771. La forma farmaceutica "sospensione" presenta alcuni vantaggi rispetto ad altre forme di somministrazione. Quale affermazione è errata?
A) possono essere facilmente deglutite
B) possono mascherare il sapore sgradevole di un principio attivo
C) sono chimicamente instabili rispetto alla soluzione dello stesso principio attivo
D) possono essere impiegate in una terapia ritardo
E) possono essere impiegate in forme iniettabili
772. Su quale dei bersagli elencati agisce la piperacillina, avente la struttura indicata?
A) più di uno
B) DNA girasi
C) metabolismo energetico della cellula batterica
D) acidi nucleici della cellula batterica
E) parete cellulare batterica
773. Quale dei seguenti rappresenta un effetto avverso dell’isotretinoina:
A) secchezza e prurito delle mucose e della cute
B) iperglicemia
C) iperlipidemia
D) tutte le indicazioni sono corrette
E) tutte le indicazioni tranne una sono corrette
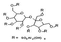
774. Il sucralfato ha la struttura sotto indicata. Quale delle affermazioni sotto riportate è errata?
A) è privo di proprietà antiacide
B) viene assorbito in misura minima
C) interagisce con le proteine della superficie ulcerata
D) interagisce con le proteine della superficie ulcerata
E) tutte le risposte sono corrette
775. Quale delle seguenti affermazioni è errata?
A) Il fentanyl è un antagonista del recettore oppioide mu
B) La buprenorfina è un agonista parziale del recettore oppioide mu
C) il naltrexone ha una migliore biodisponibilità orale rispetto al naloxone
D) l’astinenza da oppiacei provoca midriasi
E) la codeina ha una migliore biodisponibilità orale rispetto alla morfina
776. Nel caso di movimento in uscita, devono essere indicati nel registro entrata e uscita stupefacenti gli estremi del buono-acquisto ricevuto dal farmacista?
A) no, è sufficiente indicare gli estremi della fattura
B) sì, ma solo quando vengano cedute sostanze e non preparazioni
C) sì, ma solo quando vengano cedute preparazioni e non sostanze
D) sì, sempre
E) nessuna indicazione è corretta
777. Cosa deve obbligatoriamente fare il farmacista in caso di smarrimento o sottrazione del registro di carico e scarico degli stupefacenti?
A) presentare denuncia all’A.S.L. di competenza e dare comunicazione all’Ordine dei Farmacisti
B) presentare denuncia al Ministero della Salute e dare comunicazione all'Autorità di Pubblica Sicurezza
C) presentare denuncia all'Ordine dei Farmacisti e dare comunicazione al Sindaco
D) presentare denuncia al Sindaco e dare comunicazione al Ministero della Salute
E) presentare denuncia all’Autorità di Pubblica Sicurezza e dare comunicazione all'Autorità Sanitaria Locale di competenza
778. Cosa si intende per polimorfismo genetico di un enzima metabolizzante?
A) che sono presenti più isoforme dello stesso enzima
B) che vi è una variabilità enzimatica dovuta ad induttori ed inibitori
C) che sono presenti due o più fenotipi metabolizzanti
D) che la capacità metabolica varia con l'età
E) due delle indicazioni sono corrette
779. I diuretici tiazidici inibiscono il simporto di Na+, Cl-. La sede primaria di questa azione sul nefrone è localizzata nel:
A) glomerulo
B) tubulo contorto prossimale
C) tratto ascendente dell'ansa di Henle
D) tubulo contorto distale
E) tubulo e dotto collettore
780. L’incorporazione meccanica di un principio attivo in una crema idrofila è possibile:
A) solo se il principio attivo è liposolubile
B) solo se il principio attivo è fotolabile
C) mai
D) solo se il principio attivo è termolabile
E) nessuna delle indicazioni è corretta