F1
TastoEffeUno.it
La "Guida in linea" sul Web!
GUIDE
TUTORIALS
CORSI
TEMPLATE
VIDEO
QUIZ
GIOCHI DIDATTICI
Quiz CONCORSO PER L'ASSEGNAZIONE DI SEDI FARMACEUTICHE 2025
Suddivisione database ministeriale
GRUPPI DI QUESITI 841-870
841. Il broncodilatatore beta-mimetico salmeterolo si differenzia dal salbutamolo in quanto:
A) ha una maggior selettività per i recettori beta1 rispetto ai beta2
B) ha durata d'azione più breve
C) ha durata d'azione più lunga
D) si assorbe in modo incompleto
E) la sua azione insorge più rapidamente
842. Gli integratori alimentari sono definiti:
A) A.prodotti destinati ad un'alimentazione particolare
B) fonti concentrate di sostanze nutritive o di altre sostanze ad effetto nutritivo o fisiologico
C) prodotti dietetici
D) alimenti addizionati di vitamine e minerali
E) medicinali da banco
843. L’Acido acetilsalicilico, avente la struttura indicata, utilizzata come farmaco antipiastrinico ha come effetto principale
A) l’inibizione dell’enzima 5lipossigenasi
B) il legame al recettore per il trombossano A2 piastrinico
C) l’inibizione dell’enzima fosfolipasi A2 piastrinico
D) il blocco selettivo della sintesi del trombossano A2 nelle cellule endoteliali vasali
E) il blocco della sintesi di trombossano A2 nelle piastrine
844. Quale delle seguenti classi di antibatterici NON è raccomandata nei bambini:
A) penicilline
B) tetracicline
C) sulfamidici
D) amminoglicosidi
E) monobattamici
845. L’omessa detenzione in farmacia degli apparecchi e utensili previsti dalla tabella n.6 della F.U.
A) non è sanzionata
B) è sanzionata penalmente
C) è sanzionata amministrativamente
D) è sanzionata amministrativamente solo nel caso di reiterata omissione a seguito di diffida
E) è sanzionata amministrativamente soltanto nell’ipotesi di recidiva
846. A quale classe di farmaci appartiene la feniramina?
A) contraccettivi sistemici ormonali
B) antistaminici
C) benzodiazepine orali
D) ipoglicemizzanti orali
E) antagonisti betaadrenergici
847. Quale, tra gli enzimi seguenti, partecipa alla formazione dell’istamina nell’organismo?
A) arilammina acetiltransferasi
B) istidina decarbossilasi
C) più di uno di quelli indicati
D) feniletanolammina metiltransferasi
E) istamina metiltransferasi
848. In quale delle seguenti situazioni è CONTROINDICATA l'atropina?
A) nell’avvelenamento da muscarina
B) nell'avvelenamento da pilocarpina
C) nel glaucoma
D) nell'avvelenamento da organofosforici
E) nella medicazione preanestetica
849. Quale dei farmaci elencati è attivo in pazienti che presentano contemporaneamente assenze e crisi tonico-cloniche generalizzate?
A) trimetadione
B) acido valproico
C) carbamazepina
D) fenobarbital
E) etosuccimide
850. Il farmaco liraglutide è indicato per:
A) diabete tipo II e obesità
B) solo diabete tipo II
C) solo obesità
D) bulimia
E) diabete tipo I
851. L’introduzione di gruppi alchilici ingombranti sull’azoto della noradrenalina potenzia
A) l’alfa-attività
B) l’alfa1-attività
C) le risposte centrali
D) le risposte periferiche
E) la beta-attività
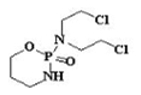
852. Qual è l’impiego terapeutico della ciclofosfamide?
A) spasmolitico
B) antistaminico
C) vasodilatatore
D) antineoplastico e immunosoppressore
E) tutte le indicazioni sono corrette
853. L’edetato disodico calcico viene prevalentemente impiegato nel trattamento dell’avvelenamento da:
A) piombo
B) arsenico
C) nessuno di quelli indicati
D) mercurio
E) rame
854. L’etichetta o la confezione di un prodotto cosmetico deve contenere:
A) la composizione qualiquantitativa degli ingredienti
B) solo il principio attivo e il suo contenuto percentuale
C) l'elenco completo degli ingredienti in ordine decrescente di peso al momento dell'incorporazione.
D) l'elenco delle sostanze pericolose
E) l'elenco delle sostanze sottoposte a restrizioni
855. La displasia dello smalto dentario può verificarsi in neonati da madri che hanno assunto in gravidanza:
A) cloramfenicolo
B) aztreonam
C) ampicillina
D) tetracicline
E) amminoglicosidi
856. In quale delle metodiche elencate può essere classificata la determinazione della cloramina T mediante sodio tiosolfato come riportato in F.U.
A) titolazione acido-base
B) reazioni di precipitazione
C) analisi gravimetrica
D) permanganometria
E) tecnica diversa da quelle elencate
857. E’ dovuta dal vincitore di concorso della farmacia l’indennità di avviamento nei confronti del precedente gestore provvisorio?
A) no
B) si, sempre
C) si, purchè la sede farmaceutica sia di nuova istituzione
D) si, purchè la sede farmaceutica non sia di nuova istituzione
E) si, purchè la gestione provvisoria abbia avuto una durata di almeno cinque anni
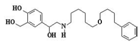
858. La clonidina è un antipertensivo che
A) attiva i recettori alfa2 adrenergici nel sistema nervoso centrale
B) blocca i recettori alfa1 adrenergici nei vasi di resistenza
C) aumenta il catabolismo della noradrenalina
D) spiazza la noradrenalina vescicolare favorendone il catabolismo
E) inibisce il reuptake neuronale di noradrenalina
859. La pubblicità a mezzo stampa o in qualsiasi altro modo concernente mezzi per la prevenzione e la cura delle malattie, medicinali, presidi medico-chirurgici:
A) non è consentita
B) è consentita previa autorizzazione del Comune
C) è consentita previa autorizzazione del Ministero della Salute
D) è consentita previa autorizzazione della Regione
E) è consentita senza alcuna autorizzazione
860. La penicillina G procainica (struttura indicata) è caratterizzata da
A) aumento della solubilità in acqua rispetto alla penicillina G (sale potassico)
B) abbassamento della solubilità in acqua rispetto alla penicillina G (per ottenere effetti più prolungati quando iniettata)
C) nessuna delle proprietà indicate
D) potenziamento dell’azione della procaina
E) capacità autoconservante
861. Modificando opportunamente la struttura della feniletilammina si può raggiungere una maggiore selettività nei confronti del recettore adrenergico beta. Quale delle seguenti affermazioni è corretta:
A) tutte le affermazioni riportate sono corrette
B) si deve inserire un ossidrile sul carbonio beta della catena
C) si deve avere una configurazione R al carbonio della catena che porta l’ossidrile
D) si deve trasformare la struttura della feniletilammina in ammina secondaria
E) si deve sostituire con un gruppo alchilico uno degli idrogeni presenti sull’atomo di azoto
862. Per quale motivo nella Tabella n.3 della F.U. NON è iscritta la stricnina?
A) perché non è un veleno
B) perché è uno stupefacente
C) perché non è presente nella Tabella n.2
D) perché nella Tabella n.3 sono presenti solo le sostanze, le cui monografie sono presenti nella F.U.
E) nessuna delle indicazioni fornite
863. L’effetto metabolico di “primo passaggio” si esplica principalmente
A) sul farmaco somministrato per via orale
B) sul farmaco somministrato per via rettale
C) su tutti i farmaci comunque somministrati
D) sul farmaco somministrato per via transdermica
E) sul farmaco somministrato per endovena
864. Nella terapia della schizofrenia si usano:
A) idantoinici
B) oppiacei
C) metilxantine
D) fenotiazine
E) amfetaminici
865. Per quanto tempo deve essere conservato in farmacia il registro di carico e scarico degli stupefacenti ?
A) non ci sono limiti temporali
B) cinque anni dalla data dell’ultima registrazione
C) cinque anni dalla data dell’ultima chiusura
D) due anni dalla data dell'ultima registrazione
E) due anni dalla data dell'ultima chiusura
866. Il dantrolene ha azione miorilassante in quanto:
A) esplica la sua azione al livello di sinapsi centrali
B) agisce sulla giunzione neuromuscolare
C) inibisce il rilascio del calcio dal reticolo sarcoplasmatico
D) è un inibitore diretto dell’aceticolina
E) si comporta come un farmaco miorilassante depolarizzante
867. Quali medicinali sono sottoposti a farmacovigilanza?
A) tutti
B) solo gli stupefacenti
C) solo quelli erogabili in regime di S.S.N.
D) solo quelli vendibili dietro presentazione di ricetta medica
E) solo quelli vendibili senza presentazione di ricetta medica
868. Quale delle seguenti affermazioni è vera per i glicosidi cardioattivi?
A) inibiscono la pompa H+ATPasi
B) inibiscono la pompa Na+K+-ATPasi
C) attivano lo scambiatore Na+-Ca2+
D) inibiscono la pompa SERCA
E) inibiscono i canali del calcio voltaggio operati
869. Quale dei seguenti fattori è responsabile, in maggior misura, dell’intensità dell’effetto di un farmaco?
A) solubilità in acqua
B) concentrazione del farmaco al sito recettoriale
C) tempo di eliminazione
D) tempo di comparsa dell’effetto dopo somministrazione orale
E) minima concentrazione efficace
870. Quale affermazione descrive correttamente la formulazione di un granulato effervescente per uso orale?
A) deve contenere un agente effervescente in forma idrata (es. bicarbonato di sodio monoidrato) per stabilità e rapida dissoluzione
B) componenti acidi e basici reagiscono immediatamente a contatto con umidità atmosferica durante lo stoccaggio.
C) miscela bilanciata di acido organico e base carbonata o bicarbonata, che reagiscono in acqua generando CO2 per migliorare solubilità e palatabilità
D) reazione effervescente attivata dal pH gastrico, senza bisogno di acqua
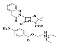
E) solo acido tartarico deve essere usato per aumentare l’effervescenza, essendo più volatile