F1
TastoEffeUno.it
La "Guida in linea" sul Web!
GUIDE
TUTORIALS
CORSI
TEMPLATE
VIDEO
QUIZ
GIOCHI DIDATTICI
Quiz CONCORSO PER L'ASSEGNAZIONE DI SEDI FARMACEUTICHE 2025
Suddivisione database ministeriale
GRUPPI DI QUESITI 961-990
961. Gli antidepressivi triciclici possono causare:
A) miosi
B) bradicardia
C) tachicardia
D) diarrea
E) dimagrimento
962. In un prodotto cosmetico l'elenco degli ingredienti deve essere riportato:
A) in ordine decrescente di peso al momento dell’incorporazione
B) in ordine crescente di peso al momento dell'incorporazione
C) in ordine crescente in termine di composizioni percentuali del prodotto finito
D) in ordine decrescente in termine di composizioni percentuali del prodotto finito
E) in ordine alfabetico
963. Una preparazione magistrale in capsule prevede l'impiego di un aminoacido ramificato. Quale, tra quelli elencati, appartiene a tale categoria?
A) valina
B) glutamina
C) norleucina
D) alanina
E) nessuno di quelli indicati
964. L’uso del ginkgo (Ginkgo biloba L.) può esporre ad interazioni farmacologiche con farmaci:
A) antiaggreganti
B) ipocolesterolemizzanti
C) neurolettici
D) antiaritmici
E) antimicrobici
965. Qual'è l'indicazione terapeutica della gliclazide?
A) antinfiammatorio
B) ipoglicemizzante orale
C) uricosurico
D) diuretico
E) antibatterico
966. Nella prescrizione su ricetta in triplice copia a ricalco per stupefacenti l'indirizzo e il numero telefonico professionali del medico o del veterinario sono obbligatori?
A) sono elementi facoltativi
B) solo se il medico opera in libera professione
C) solo per gli stupefacenti appartenenti all'Allegato III-bis
D) si, sempre
E) solo per i medici dipendenti o convenzionati con il Servizio Sanitario Nazionale
967. La capacità di scorrimento di una polvere, determinata misurando il tempo necessario perché l’intero campione defluisca dall’imbuto, viene espressa, riferita a 100 g di campione in:
A) secondi e decimi di secondo
B) minuti
C) tempo infinito
D) due indicazioni sono corrette
E) nessuna indicazione è corretta
968. I messaggeri chimici che agiscono nell’organismo vengono trasformati metabolicamente. Da quale di essi deriva il composto avente la formula rappresentata a lato e che corrisponde alla melatonina
A) adrenalina
B) noradrenalina
C) dopamina
D) istamina
E) serotonina
969. Con quale dei seguenti metodi è ancora possibile misurare la tensione interfacciale
A) metodo del capillare
B) impiego dello stalagmometro
C) metodo della pipetta di Andreasen
D) impiego del picnometro
E) impiego dello zetametro
970. Gli unguenti sono definiti dalla F.U. come
A) preparazioni semisolide multifase costituite da una fase acquosa e da una fase lipofila
B) preparazioni semisolide che contengono disperse polveri in grandi proporzioni
C) preparazioni costituite da liquidi gelificati per mezzo di opportuni gelificanti
D) preparazioni semisolide costituite da una base monofasica in cui possono essere disperse sostanze solide o liquide
E) nessuna definizione è corretta
971. Quale dei seguenti ormoni non si usa in terapia?
A) Ormone adrenocorticotropo (ACTH)
B) Prolattina
C) Ossitocina
D) Vasopressina
E) Somatotropina
972. In quale dei seguenti disturbi è utilizzato il succo mirtillo rosso americano (Vaccinium macrocarpon Ait.)?
A) infezioni delle prime vie aeree
B) infezioni recidivanti delle vie urinarie
C) bronchiti croniche
D) disturbi della menopausa
E) infezioni cutanee
973. Per teratogeno puro si intende:
A) uno xenobiotico in grado di indurre, a basse dosi, malformazioni
B) uno xenobiotico in grado di indurre, a basse dosi, letalità
C) uno xenobiotico in grado di indurre, a basse dosi, ritardo nella crescita
D) uno xenobiotico in grado di indurre, a basse dosi, tutti e tre gli effetti
E) nessuna delle indicazioni è corretta
974. Quale dei seguenti macrolidi non viene somministrato per via orale?
A) Spiramicina
B) Eritromicina base
C) Eritromicina stearato
D) Eritromicina etilsuccinato
E) Claritromicina
975. Qual è l’indicazione clinica principale delle sulfoniluree aventi la struttura generale indicata?
A) diabete insulino dipendente (Tipo I)
B) diabete non insulino dipendente (Tipo II)
C) trattamento della resistenza muscolare all’insulina
D) diabete tipo Mody
E) feocromocitoma
976. Una capsula a base di ingredienti vegetali può essere:
A) un medicinale vegetale tradizionale
B) un medicinale
C) un integratore alimentare
D) tutte le indicazioni sono corrette
E) un dispositivo medico
977. Degli accoppiamenti sotto indicati, qual è quello corretto?
A) clomipramina - antidepressivo
B) promazina - antipsicotico
C) triazolam - ipnotico sedativo
D) sobrerolo - antitussivo
E) tutti gli accoppiamenti sono corretti
978. La natura del chitosano è:
A) lipidica
B) proteica
C) polisaccaridica
D) idrocarburica
E) inorganica
979. Quali delle seguenti droghe è usata come amaro eupeptico?
A) Genziana (radice di Gentiana lutea L.)
B) Hamamelis virginiana
C) Rabarbaro (rizoma di Rheum palmatum L. o R. officinale Baillon)
D) China (corteccia di Cinchona spp.)
E) più di un'indicazione è corretta
980. Le indicazioni terapeutiche accettate per farmaci antimuscarinici comprendono tutte le seguenti tranne:
A) ipertensione
B) cinetosi
C) malattia di Parkinson
D) spasmo vescicale postoperatorio
E) induzione di midriasi e cicloplegia
981. Quale tra i farmaci antimicrobici seguenti riesce a provocare modificazioni della sintesi o del metabolismo degli acidi nucleici della cellula batterica?
A) nessuno di quelli indicati
B) Teicoplanina
C) Carbapeneme
D) Cicloserina
E) Cefalosporine
982. Quale dei seguenti farmaci antitumorali corrisponde alla definizione di “Sostanza di origine naturale che agisce promuovendo l’assemblamento e la stabilizzazione della tubulina”
A) vincristina
B) vinblastina
C) mitomicina C
D) podofillotossina
E) taxolo
983. Il principio attivo Selegelina trova impiego per la terapia del morbo di Parkinson. Quale delle seguenti affermazioni è vera?
A) è precursore nella biosintesi della dopamina
B) è un inibitore della MAO-B
C) è un inibitore della MAO-A
D) è un inibitore della ricaptazione della dopamina
E) favorisce il rilascio di dopamina
984. Cosa sono le proteine G?
A) parte del sistema di trasduzione del segnale
B) peptidi gastrointestinali
C) proteine plasmatiche
D) antigeni
E) proteine virali
985. I liofilizzati di una proteina terapeutica si usano nel seguente modo
A) Per via orale sciogliendo la polvere in bocca
B) Per via orale dopo dispersione in acqua in un bicchiere
C) Per via iniettiva dopo risolubilizzazione nel veicolo fornito
D) Per via iniettiva diretta della polvere per evitare contaminazioni
E) A. La liofilizzazione non è un processo adatto alle proteine
986. Quale dei seguenti è un catione monovalente che tende a diminuire o invertire l’aritmia lieve-moderata indotta da digitale?
A) Magnesio
B) Chinidina
C) Litio
D) Potassio
E) Calcio
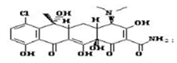
987. Su quale dei bersagli elencati agisce la clortetraciclina, avente la struttura indicata?
A) subunità ribosomiale 50S
B) membrana citoplasmatica
C) subunità ribosomiale 30S
D) acidi nucleici della cellula batterica
E) parete cellulare batterica
988. Da un punto di vista strutturale il paracetamolo può essere considerato:
A) un amminoacido
B) un ossiacido
C) un pirazolone
D) una anilide
E) un acetossiacido
989. Quale delle seguenti condizioni NON rappresenta una controindicazione per la somministrazione di un vaccino attenuato:
A) gravidanza
B) trattamento con corticosteroidi
C) trattamento con antinfiammatori non steroidei
D) paziente immunodepresso
E) malattie febbrili in atto
990. Per quale motivo le compresse rivestite con un prodotto che presenta un gruppo funzionale acido ed uno estereo,si solubilizzano facilmente a livello intestinale?
A) il rivestimento presenta più di una delle caratteristiche indicate
B) il rivestimento ha carattere anfolitico
C) il rivestimento ha carattere cationico
D) il rivestimento,in ambiente acido, subisce la saponificazione della funzione esterea
E) il rivestimento ha carattere acido