F1
TastoEffeUno.it
La "Guida in linea" sul Web!
GUIDE
TUTORIALS
CORSI
TEMPLATE
VIDEO
QUIZ
GIOCHI DIDATTICI
Test Accesso Programmato 2024
MATERIA: FISICA E MATEMATICA
Quesiti Risposta Multipla
323. Un macchinario produce 5 tappi al minuto. Dopo quanti secondi dal suo avvio ne avrà prodotti esattamente 3?
10 secondi
36 secondi
60 secondi
40 secondi
12 secondi
628. Il primo principio della termodinamica esprime che:
la pressione di un gas ideale è costante
l'energia non può essere né creata né distrutta
l'energia termica è sempre trasformata in lavoro
l'entropia di un sistema isolato aumenta sempre
la temperatura di un gas ideale è costante
259. Quali sono le soluzioni della disequazione 4x
2
- 9 ≤ 0?
x ≤ 3 ∨ x ≥ 4
Nessun valore di x
x ≠ 0
-9/4 &le x &le 9/4
- 3 / 2 ≤ x ≤ 3 / 2
564. La legge di Avogadro afferma che:
in condizioni di pressione costante il volume e la temperatura di un gas sono direttamente proporzionali
un gas mantenuto a temperatura costante occupa un volume inversamente proporzionale alla pressione alla quale è sottoposto
ogni corpo alla temperatura T emette una quantità di energia proporzionale alla quarta potenza della sua temperatura assoluta
in condizioni di pressione costante il rapporto tra il volume e la temperatura assoluta di un gas perfetto rimane costante
volumi uguali di gas diversi, nelle medesime condizioni di temperatura e di pressione, contengono lo stesso numero di molecole
195. Date le due funzioni f(x) = cos x e g(x) = 1 - x
2
, la funzione composta g(f(x)) è pari a:
(1- cos x)
2
cos (1 - x
2
)
sen
2
x
sen x
2
cos 1 / x
500. Quale delle seguenti affermazioni relative alle operazioni tra vettori (somma, differenza , prodotto scalare e vettoriale) è FALSA?
Il prodotto vettoriale di due vettori ortogonali ha modulo risultante pari al prodotto algebrico dei due moduli
Il modulo del prodotto vettoriale di due vettori è massimo quando essi sono paralleli
Il prodotto vettoriale è un vettore che non giace sullo stesso piano dei due vettori di partenza
Il prodotto scalare di due vettori ortogonali è nullo
Solo alcune delle operazioni considerate restituiscono un vettore come risultato
131. Quali sono le coordinate (x ; y) del vertice della parabola di equazione
y = x
2
- 4x +1 ?
(-2 ; 2)
(3 ; 4)
(2 ; -3)
(0 ; 1)
(1 ; -2)
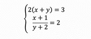
436. Quali valori di x rappresentano la soluzione del sistema di disequazioni mostrato in figura?
x > - 1 / 3
x > - 1 / 4
- 1 / 3 < x < 1 / 4
Nessun valore di x
- 1 / 3 < x < -1 / 4
67. Quali sono le soluzioni dell’equazione 4
x
+ 2
3x
+ 16 = 0?
x = 0 e x = 1
x = 2 e x = 1
L’equazione non ha soluzioni reali
x = 0
Tutti i numeri reali
741. Quale dei seguenti tipi di moto può essere considerato armonico?
Il moto uniformemente accelerato
Il moto di rivoluzione terrestre
Il moto parabolico di un proiettile
Il moto di caduta libera di un grave
L'oscillazione di un pendolo