F1
TastoEffeUno.it
La "Guida in linea" sul Web!
GUIDE
TUTORIALS
CORSI
TEMPLATE
VIDEO
QUIZ
GIOCHI DIDATTICI
Quiz CONCORSO PER L'ASSEGNAZIONE DI SEDI FARMACEUTICHE 2025
Suddivisione database ministeriale
GRUPPI DI QUESITI 91-120
91. La carbamazepina è il composto rappresentato dalla struttura indicata. La sua attività farmacologica prevalente è
A) antidepressiva
B) ipnotica
C) antiepilettica
D) analgesica
E) tranquillante
92. La quaternarizzazione dell’atomo di azoto della (-)-(S)iosciamina porta all'ipratropio, sotto rappresentato. Quale effetto farmacologico produce tale variazione?
A) riduce l’attività antimuscarinica
B) confina l’azione antimuscarinica a livello periferico
C) introduce attività anticolinesterasica
D) introduce selettività verso i recettori M1
E) introduce selettività verso i recettori M2
93. Un medicinale contiene simeticone e alverina citrato. Quale delle affermazioni sotto riportate è corretta
A) presenta proprietà terapeutiche antiacide
B) presenta proprietà terapeutiche procinetiche
C) non presenta proprietà terapeutiche antimeteoriche
D) presenta proprietà terapeutiche lassative
E) allevia il dolore addominale nella sindrome dell'intestino irritabile
94. Quale è l’attività farmacologica più rilevante che può essere ipotizzata per la struttura indicata riconducibile ad una idantoina?
A) nessuna di quelle indicate
B) neurolettica
C) antipiretica
D) antimuscarinica
E) anticonvulsivante
95. Gli operatori sanitari che rilevano la presenza di difetti o corpi estranei in un medicinale devono:
A) darne immediata comunicazione all’Agenzia Italiana del Farmaco e inviare il campione di medicinale oggetto della segnalazione, qualora integro, all’Istituto Superiore di Sanità.
B) inviare all’istituto Superiore di Sanità solo i campioni non più integri e con il contenuto parzialmente utilizzato
C) inviare all’Agenzia Italiana del Farmaco i campioni di medicinale contenenti corpi estranei identificabili a vista
D) inviare all’Agenzia Italiana del Farmaco campioni diversi da quelli nei quali sono stati rinvenuti i corpi estranei.
E) aprire il confezionamento e inviare il campione non più integro ai N.A.S.
96. L’indice terapeutico è espresso
A) dalla somma di DE50 e DL50
B) dalla differenza tra DE50 e DL50
C) dalla differenza tra DL50 e DE50
D) dal rapporto tra DE50 e DL50
E) dal rapporto DL50 tra e DE50
97. Dopo la consegna, in caso di necessità e urgenza, di un farmaco assoggettato a prescrizione medica senza presentazione di ricetta medica il farmacista deve:
A) inviare apposita comunicazione all’Autorità sanitaria competente
B) registrare la consegna nel FSE del paziente
C) controfirmare la dichiarazione di assunzione di responsabilità circa la veridicità del trattamento con il medicinale richiesto, rilasciata dal paziente nei casi previsti
D) annotare la consegna su apposito registro indicando il nome del farmaco, le iniziali del paziente e la condizione che ha dato luogo alla consegna del medicinale
E) tutte le indicazioni sono corrette
98. La nitroglicerina viene somministrata per via sublinguale per:
A) ridurre gli effetti collaterali dovuti a vasodilatazione (vampate, cefalea)
B) ridurre la escrezione renale
C) evitare il circolo coronarico
D) migliorare la compliance
E) evitare il metabolismo da primo passaggio epatico
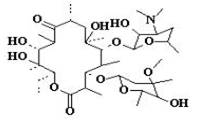
99. Su quale dei bersagli elencati agisce l’eritromicina, avente la struttura indicata?
A) sintesi proteica ribosomiale
B) membrana citoplasmatica
C) unità ribosomiale 50S
D) unità ribosomiale 30S
E) più di uno
100. Il captopril può indurre tutti gli effetti indesiderati elencati, TRANNE
A) albuminuria
B) tosse secca
C) alterazione del senso del gusto
D) perdita di K+
E) neutropenia
101. Dall'iperattivazione di quale delle seguenti regioni cerebrali dipende, almeno in parte, la sindrome di astinenza da oppioidi?
A) corteccia cerebrale
B) area mesolimbica
C) midollo spinale
D) corpo striato
E) ipotalamo
102. E’ consentito l’impiego di alcool metilico nella preparazione di medicinali?
A) si, sempre
B) no, mai
C) si, ma solo per preparazioni su ricetta medica
D) si, ma solo in quantità non superiori allo 0,1%
E) si, ma solo nei limiti fissati dalla F.U.
103. Il flumazenil blocca gli effetti di:
A) Fenobarbital
B) GABA
C) Zolpidem
D) Alotano
E) nessuna delle indicazioni è corretta
104. La idiosincrasia ai farmaci è:
A) una reazione allergica
B) una risposta abnorme ai farmaci su base genetica
C) un fenomeno di tolleranza ai farmaci
D) una reazione dovuta ad interazione farmacologica
E) una reazione su base immunitaria
105. La prescrizione di medicinali veterinari non stupefacenti destinata ad animali da compagnia deve essere redatta con Ricetta Veterinaria Elettronica (REV)?
A) si, sempre
B) nelle prescrizioni di medicinali veterinari autorizzati (anche o solo) per animali da reddito
C) quando si devono prescrivere ad animali farmaci per uso umano
D) quando si devono prescrivere galenici magistrali
E) quando occorre una ripetibilità nel tempo
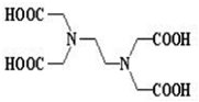
106. L’EDTA avente la struttura indicata è uno dei farmaci utilizzati nel trattamento delle intossicazioni da metalli pesanti. Il suo meccanismo d'azione è dovuto a:
A) formazione di chelati con metalli bi- e trivalenti
B) aumento della capacità fagocitica delle cellule del Kupffer
C) induzione degli enzimi epatici di fase I
D) aumento della velocità di filtrazione glomerulare
E) induzione degli enzimi epatici di fase II
107. La griseofulvina viene commercializzata in forma micronizzata per aumentarne l’area superficiale specifica al fine di incrementare
A) più di una delle proprietà indicate
B) nessuna delle proprietà indicate
C) l’affinità per il recettore
D) il coefficiente di ripartizione
E) la velocità di passaggio in soluzione
108. Il suffisso “ triptan “ è tipico della classe dei farmaci:
A) agonisti dei recettori serotoninergici 5-HT1
B) antagonisti dei recettori serotoninergici 5-HT1
C) agonisti dei recettori serotoninergici 5-HT3
D) antagonisti dei recettori serotoninergici 5-HT3
E) antagonisti dei recettori muscarinici m3
109. In quale caso è consentita la pubblicità al pubblico di medicinali vendibili solo su presentazione di ricetta medica?
A) in tutti i casi descritti
B) in nessun caso in assoluto
C) nel caso di campagne promozionali di vaccinazione autorizzate dal Ministero della Salute te
D) nel caso di farmaci erogabili in regime di SSN a livello ospedaliero
E) nelle campagne promozionali di medicinali destinati all’infanzia autorizzate dalla Regione
110. Il mifepristone è un farmaco ad attività:
A) antiprogestinica
B) antiestrogenica
C) antiandrogenica
D) progestinica
E) estrogenica
111. La furosemide può aumentare la tossicità di uno dei seguenti farmaci somministrati in concomitanza:
A) sali di litio
B) aspirina
C) cefaloridina
D) noradrenalina
E) ioduri
112. L’uso prolungato della nafazolina può provocare:
A) rinite iatrogena
B) tossicità per ridotto metabolismo
C) diarrea
D) ipoglicemia
E) ipotiroidismo
113. Quale dei composti elencati NON è un antinfettivo chinolonico?
A) ciprofloxacina
B) moxifloxacina
C) nitrofurantoina
D) levofloxaccina
E) ofloxacina
114. Gli acidi micolici sono acidi grassi ad elevato numero di atomi di carbonio che condizionano il comportamento verso i chemioterapici dei
A) batteri Gram-negativi
B) batteri Gram-positivi
C) funghi
D) micobatteri
E) retrovirus
115. Oseltamivir agisce come:
A) anti HIV
B) antierpetico
C) anti HCV
D) antinfluenzale
E) anti RSV
116. Tra i seguenti diuretici scegliere quello che è antagonista competitivo dell'aldosterone:
A) nifedipina
B) spironolattone
C) furosemide
D) acetazolamide
E) enalapril
117. Quando la farmacia allestisce un preparato erboristico deve:
A) tutte le indicazioni sono corrette
B) rispettare le NBP
C) riportare le indicazioni terapeutiche
D) calcolare il prezzo secondo la Tariffa Nazionale dei Medicinali
E) riportare il nome previsto dalla nomenclatura internazionale INCI
118. Un cerotto transdermico è progettato per garantire che il farmaco veicolato:
A) Non superi la barriera cutanea
B) Si accumuli sulla superficie cutanea evitando l’assorbimento
C) Attraversi la cute, ma non raggiunga concentrazioni sistemiche elevate
D) Attraversi la cute e raggiunga concentrazioni efficaci nei tessuti sottostanti
E) Attraversi la cute e raggiunga concentrazioni sistemiche efficaci
119. In quale delle condizioni elencate il titolare di farmacia può essere direttore responsabile della farmacia succursale assegnatagli?
A) In nessuna delle condizioni indicate
B) Se nomina un direttore nella farmacia di cui è titolare
C) Solo nel periodo in cui la farmacia di cui è titolare è chiusa per ferie
D) In più di una delle condizioni elencate
E) Se ottiene apposita autorizzazione dall’Azienda Sanitaria Locale
120. Tra le sostanze attive seguenti, quale NON richiede un veicolo oleoso nella forma farmaceutica:
A) vitamina A
B) vitamina D
C) testosterone decanoato
D) ibuprofene
E) le risposte sono tutte corrette