F1
TastoEffeUno.it
La "Guida in linea" sul Web!
GUIDE
TUTORIALS
CORSI
TEMPLATE
VIDEO
QUIZ
GIOCHI DIDATTICI
Quiz CONCORSO PER L'ASSEGNAZIONE DI SEDI FARMACEUTICHE 2025
Suddivisione database ministeriale
GRUPPI DI QUESITI 151-180
151. I corticosteroidi legandosi a recettori presenti nel citosol esercitano effetti:
A) metabolici
B) immunodepressivi
C) antiinfiammatori
D) tutti quelli indicati
E) nessuno di quelli indicati
152. Il sodio alginato è utile come antiacido:
A) in quanto la sua struttura molecolare molto complessa libera lentamente i cationi
B) per salificare il magnesio che deve svolgere azione di antiacido
C) per salificare l’alluminio che deve svolgere azione di antiacido
D) in ambiente acido forma un denso gel gastroprotettivo
E) per ragioni diverse da quelle indicate
153. Chi e’ il padre dell’omeopatia:
A) Ippocrate
B) Paracelso
C) Hahnemann
D) Linneo
E) nessuno di quelli indicati
154. Per recettore si intende
A) qualunque molecola che si trovi sulla membrana cellulare
B) la biofase
C) qualunque sostanza endogena
D) una proteina con i cui elementi strutturali il farmaco interagisce per generare l'effetto biologico
E) qualunque proteina cellulare
155. I livelli ematici di trigliceridi sono
A) aumentati dalla somministrazione di fibrati
B) diminuiti dalla somminstarzione di fibrati
C) non influenzati dalla somministrazione di fibrati
D) diminuiti dalla somministrazione di creatinina
E) aumentati dalla somministrazione di creatinina
156. Quale delle reazioni di biotrasformazione elencate è classicamente inducibile ad opera di farmaci:
A) metilazione
B) coniugazione con solfato
C) idrolisi
D) coniugazione con acido glucuronico
E) coniugazione con glicina
157. I messaggeri chimici si formano da sostanze che vengono immesse nell’organismo con la dieta. Da quale precursore deriva l’istamina?
A) tirosina
B) acido glutammico
C) colina
D) dal triptofano
E) dalla istidina avente la struttura indicata
158. In presenza di una confezione multipla frazionabile di un medicinale veterinario non è possibile dispensare:
A) una sola frazione
B) il numero di frazioni prescritte dal medico veterinario unitamente ad un pari numero di foglietti illustrativi se non presenti in formato elettronico tramite QRcode/link sulla frazione
C) l’intera confezione
D) parti di frazione secondo la posologia prescritta
E) confezioni da vendersi dietro presentazione di ricetta medico-veterinaria non ripetibile
159. Gli effetti dell’amfetamina sono dovuti ad
A) aumento del rilascio di ammine biogene
B) inibizione del reuptake di adrenalina e noradrenalina a livello presinaptico
C) inibizione delle monoammino ossidasi
D) incremento della sintesi di noradrenalina
E) azione alfa-agonista
160. Un medicinale in compresse a base di flunitrazepam deve essere dispensato con:
A) ricetta da rinnovarsi di volta in volta
B) ricetta ministeriale in triplice copia a ricalco
C) ricetta ripetibile
D) ricetta limitativa
E) senza obbligo di ricetta medica
161. Quale tra i farmaci elencati si può utilizzare nel trattamento dell’ipercalciuria:
A) Sartani
B) Inibitori dell’anidrasi carbonica
C) Diuretici dell’ansa
D) Tiazidici
E) Diuretici osmotici
162. Il baclofene, avente la struttura indicata, esercita azione miorilassante
A) antagonizzando i recettori per la rianodina nel muscolo scheletrico
B) antagonizzando i recettori alfa2 adrenergici
C) inibendo la sintesi centrale di prostaglandine
D) attivando i recettori GABA- B
E) antagonizzando i recettori della placca neuromuscolare
163. La dieta deve essere controllata con maggiore rigore quando si assumono
A) bloccanti dei canali del Na+
B) ACE-inibitori
C) purganti ad azione di massa
D) inibitori delle monoammino ossidasi
E) composti triciclici 6-7-6 (struttura indicata a lato)
164. Quale degli aggettivi sotto riportati definisce nella maniera più corretta un farmaco che impedisce la crescita batterica
A) antimicrobico
B) batteriostatico
C) chemioterapico
D) battericida
E) antibiotico
165. Nell’attribuzione della data limite di utilizzazione di una preparazione galenica magistrale, il farmacista deve tenere in considerazione tutte le informazioni concernenti:
A) la natura delle sostanze e i loro possibili processi di degradazione
B) la natura del contenitore e le possibili interazioni con il contenuto
C) le possibili degradazioni degli eccipienti
D) le condizioni di conservazione del preparato
E) tutte le indicazioni sono corrette
166. Le soluzioni isotoniche hanno la stessa osmolarità. Esse devono necessariamente presentare anche
A) la stessa temperatura di congelamento
B) lo stesso colore
C) lo stesso pH
D) la stessa densità
E) la stessa conducibilità
167. Il punto isoelettrico di un amminoacido è
A) il potenziale di ionizzazione
B) il pH a cui la molecola ha una carica netta positiva
C) il pH a cui la molecola ha una carica netta negativa
D) il pH a cui la carica netta della molecola è zero
E) il pH a cui la molecola manifesta la massima solubilità
168. Tutte le seguenti sostanze possono avere effetti teratogeni tranne una, indicare quale:
A) Metotrexato
B) Ciclofosfamide
C) Carbamazepina
D) Metildopa, sotto stretta sorveglianza medica e valutazione rischio beneficio
E) Cloramfenicolo
169. Gli agonisti alfa-1 adrenergici hanno azione
A) antiipotensiva
B) vasocostrittrice
C) decongestionante delle mucose
D) tutte le indicazioni sono corrette
E) solo una indicazione è corretta
170. Il valore di HLB richiesto
A) Fa riferimento alla fase acquosa
B) Fa riferimento alla fase oleosa
C) Fa riferimento al tipo di emulsione che si intende ottenere
D) Fa riferimento alla fase acquosa e al tipo di emulsione che si intende ottenere
E) Nessuna delle precedenti risposte è esatta
171. L’utilizzazione terapeutica di numerose sostanze è correlata alla loro capacità di bloccare particolari sistemi enzimatici. Quale, tra le coppie farmaco - enzima sotto elencate, rappresenta l’enzima ed il corrispondente inibitore?
A) captopril- Enzima di Conversione dell'Angiotensina
B) cefalosporina - transpeptidasi
C) selegelina- MonoAminoOssidasi B
D) lansoprazolo -enzima H+/K+ ATPasi delle cellule parietali dello stomaco
E) quelle indicate
172. Una tetraciclina è maggiormente assorbita per os se somministrata :
A) a digiuno
B) con latte
C) con sali di calcio
D) con sali di ferro
E) con caolino
173. Se una sostanza si scioglie in esano e NON in acqua, essa sarà verosimilmente
A) non polare
B) polare
C) ionica
D) dissociata
E) solvatata
174. Un farmaco basico nella sua forma protonata ha un pKa = 7. Quando esso entra in una cellula dove il valore del pH è uguale rispetto a quello del fluido extracellulare, la concentrazione della specie ionizzata
A) rimane identica rispetto a quella presente nel fluido extracellulare
B) diminuisce rispetto a quella presente nel fluido extracellulare
C) aumenta rispetto a quella presente nel fluido extracellulare
D) non si può prevedere in quanto mancano i valori numerici del pH nei due distretti
E) nessuna delle indicazioni fornite è corretta
175. Gli antidepressivi triciclici di prima generazione:
A) si comportano da antagonisti dei recettori dopaminergici
B) esibiscono una latenza clinica di almeno 2-3 settimane
C) inibiscono la sintesi di acetilcolina
D) modulano positivamente i recettori GABA-A
E) inibiscono l'aggregazione piastrinica
176. Quale dei seguenti effetti è indotto dalla scopolamina?
A) salivazione
B) miosi
C) amnesia
D) broncocostrizione
E) acatisia
177. A quale classe di farmaci viene riferito il suffisso “azepam” nella Denominazione Comune
A) Antinfiammatori di tipo arilacetico
B) Antiepilettici di tipo idantoinico
C) Ansiolitici di tipo benzodiazepinico
D) Ansiolitici di tipo carbammico
E) Antistaminici H2
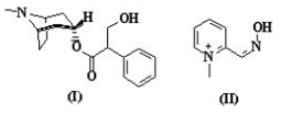
178. L’atropina (I) e la pralidossima (II) sono farmaci utilizzati terapeuticamente nell'avvelenamento da esteri fosforici in quanto entrambi
A) agiscono inibendo l’enzima acetilcolinesterasi
B) possono influenzare, pur con meccanismi diversi, il sistema colinergico
C) sono antagonisti competitivi dell’acetilcolina
D) agiscono sui recettori nicotinici
E) agiscono sui recettori muscarinici
179. Qual è l'elminta che si trasmette per via percutanea anche agli uomini?
A) Toxocara canis
B) Echinococco
C) Dipylidium caninum
D) Ancylostoma duodenalis
E) Nessuna indicazione è corretta
180. Un tensioattivo non ionico, per essere utilizzato come bagnante, deve essere caratterizzato da un valore di HLB:
A) Compreso tra 7-9
B) Superiore a 18
C) Inferiore a 3
D) Compreso tra 13-15
E) Il valore di HLB non è determinante