F1
TastoEffeUno.it
La "Guida in linea" sul Web!
GUIDE
TUTORIALS
CORSI
TEMPLATE
VIDEO
QUIZ
GIOCHI DIDATTICI
Quiz CONCORSO PER L'ASSEGNAZIONE DI SEDI FARMACEUTICHE 2025
Suddivisione database ministeriale
GRUPPI DI QUESITI 181-210
181. Quale delle indicazioni seguenti si avvicina maggiormente alla definizione di provitamine?
A) sostanze simili alle vitamine
B) precursori delle vitamine
C) coadiuvanti delle vitamine
D) antagonisti delle vitamine
E) prodotti di trasformazione delle vitamine
182. Se ricorrono le condizioni previste dalla normativa per la consegna da parte del farmacista di medicinali assoggettati a prescrizione medica, in caso di necessità e urgenza, senza presentazione di ricetta medica, è consentito al farmacista di dispens
A) si, sempre
B) no, mai
C) si, solo se il cliente produce la ricetta entro i due giorni successivi
D) no, se il medicinale è assoggettato a nota limitativa
E) si, ma solo se il medicinale rientra nell’elenco dei prodotti del PHT (Prontuario della distribuzione diretta)
183. L’impregnazione è una tecnica che consiste nel fissare una diluizione omeopatica su supporti inerti, quali:
A) lattosio
B) saccarosio
C) più di uno tra quelli indicati
D) glicerina
E) tutti quelli indicati
184. Chi effettua pubblicità di dispositivi medici in violazione alle disposizioni vigenti è soggetto a:
A) sanzioni amministrative
B) sanzioni penali
C) sanzioni penali e sanzioni amministrative
D) nessuna sanzione
E) arresto
185. Mexiletina e lidocaina sono farmaci accomunati per:
A) il loro meccanismo d’azione come farmaci antidolorifici
B) il blocco frequenzadipendente dei canali del sodio cardiaci
C) il loro uso come anestetici locali
D) il trattamento per os delle aritmie ventricolari
E) il potenziamento dell’attività muscarinica del cuore
186. Gli analoghi del GnRH ( Gonadotropin-Releasing Hormon ) (leuprorelin, goserelin, triptorelin, buserelin) impiegati nella terapia di malattie ormono-dipendenti sono:
A) antagonisti non competitivi sul recettore del GnRH
B) antagonisti competitivi sul recettore del GnRH
C) degli agonisti sul recettore del GnRH
D) inattivi sul recettore GnRH ma agonisti non competitivi sui recettori per gli estrogeni
E) dotati di elevata attività antagonista sui recettori per gli androgeni
187. Qual è la durata di validità di una ricetta non ripetibile a carico del Servizio Sanitario Nazionale?
A) dieci giorni compreso quello di emissione
B) trenta giorni escluso quello di emissione
C) quindici giorni
D) tre mesi
E) novanta giorni
188. Le indagine diagnostiche attraverso la Tomografia Assiale Computerizzata (TAC) utilizzano radiazioni elettromagnetiche che, rispetto a quelle che rientrano nel campo del visibile, presentano
A) energia molto più bassa
B) valori di lunghezza d'onda molto più elevati
C) lunghezza d’onda ed energia molto più basse
D) una lunghezza d'onda più corta e valori di frequenza più alti
E) valori di lunghezza d'onda comparabili
189. Quale dei principi attivi sotto indicati conferisce ai medicinali che lo contengono l’attività terapeutica di antiacido
A) magaldrato
B) dimeticone
C) acido alginico
D) più di uno tra quelli indicati
E) nessuno tra quelli indicati
190. Quale, tra le seguenti azioni, NON si osserva con l’uso dei diuretici dell’ansa?
A) aumentata eliminazione di Mg2+
B) diminuita eliminazione di Ca2+
C) aumentata eliminazione di cloruri
D) kaliuresi
E) alcalosi metabolica
191. Indicare quale delle seguenti attività farmacologiche esplica il propranololo:
A) stimolazione dei recettori a adrenergici
B) blocco dei recettori beta adrenergici
C) stimolazione dei recettori beta adrenergici + azione anestetica locale
D) blocco dei recettori alfa adrenergici
E) stimolazione dei recettori alfa adrenergici + azione anestetica locale
192. La coniugazione di un biofarmaco con plietilenglicole ( PEG ):
A) aumenta la proteolisi
B) diminuisce l’immunogenicità
C) incrementa la clearance renale
D) riduce la presenza a livello ematico
E) peggiora la solubilità
193. Preparazioni galeniche di capsule contenenti i cosidetti “amminoacidi ramificati” (BCAA). Quale, tra quelli elencati, appartiene a tale categoria?
A) Ser
B) Ala
C) Ileu
D) Phe
E) più di uno di quelli indicati
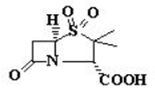
194. Il sulbactam avente la struttura indicata
A) ha notevole attività nei confronti dei batteri Gram positivi
B) è una beta-lattamina ad ampio spettro
C) è un efficace inibitore delle beta lattamasi batteriche
D) induce inattivazione delle penicilline
E) è attivo nei confronti dei batteri Gram negativi
195. Secondo la Farmacopea, le preparazioni semisolide per applicazione cutanea si suddividono in:
A) pomate, creme, gel, paste, cataplasmi, impiastri medicati
B) unguenti, creme, gel, paste, cataplasmi
C) unguenti, creme, gel, paste
D) unguenti, creme, gel, paste, schiume medicate
E) pomate, creme, gel, paste, schiume medicate
196. A cosa è subordinata l’efficacia delle polizze assicurative stipulate dal farmacista per danni cagionati con colpa grave?
A) allo svolgimento dell’attività in una struttura pubblica
B) all’assolvimento in misura non inferiore al 70 (settanta) percento dell’obbligo formativo individuale dell’ultimo triennio utile in materia di formazione continua in medicina
C) allo svolgimento dell’attività in una struttura privata
D) allo svolgimento dell’attività liberoprofessionale
E) al regolare pagamento della quota di iscrizione all’Albo
197. Il ricarico percentuale può essere definito come:
A) il rapporto tra il margine netto unitario e il prezzo di acquisto
B) rapporto tra conto economico e ricavi
C) il risultato dell'analisi della situazione patrimoniale senza le passività
D) il rapporto tra il conto economico e le tasse pagate
E) più di una risposta è corretta
198. Per farmaco orfano si intende
A) un farmaco equivalente
B) un farmaco biosimilare
C) nessuna indicazione è corretta
D) un farmaco con brevetto scaduto
E) un farmaco "me too"
199. Nei composti quali il Macrogol e il Polisorbato, preparati con ossido di etilene, quale deve essere il limite per questo costituente?
A) 1 ppb
B) 1 ppm
C) 0,01
D) 100 ppm
E) 1000 ppm
200. Nell’organismo umano dove è maggiormente presente lo iodio?
A) nel cervello
B) nel fegato
C) nella tiroide
D) nel pancreas
E) nella cistifellea
201. Tra gli antipsicotici elencati, quello che produce i minori disturbi extrapiramidali è:
A) l’aloperidolo
B) la clozapina
C) la clorpromazina
D) trifluoperazina
E) pimozide
202. Quale dei seguenti farmaci antiulcera inibisce la secrezione acida bloccando reversibilmente la pompa protonica delle cellule parietali?
A) famotidina
B) sucralfato
C) magaldrato
D) omeprazolo
E) sodio alginato
203. Le fenotiazine risultano efficaci nella
A) narcolessia
B) nevralgia del trigemino
C) epilessia
D) schizofrenia
E) parkinsonismo
204. La dose di meflochina usata nella profilassi contro la malaria da Plasmodium falciparum è:
A) 1000 mg/settimana
B) 1000 mg/die
C) 250 mg/settimana
D) 500 mg/die
E) nessuna delle indicazioni
205. E’ consentita la consegna a domicilio di medicinali?
A) si, purché avvenga nell’ambito della sede farmaceutica prevista in pianta organica
B) si, limitatamente ad anziani e a persone non autosufficienti
C) no, è vietata
D) si, rispettando quanto stabilito dal codice deontologico
E) si, previa autorizzazione dell’Ordine dei Farmacisti
206. Quale delle seguenti piante medicinali è utilizzata nell’insufficienza venosa?
A) Echinacea (Echinacea spp.)
B) Melissa (Melissa officinalis L.)
C) Mirtillo nero (Vaccinium myrtillus L.)
D) Uva ursina (Arctostaphylos uva-ursi (L.) Sprengel)
E) Mirtillo rosso americano (Vaccinium macrocarpon Ait.)
207. Quale delle indicazioni riferite all'anestetico locale lidocaina cloridrato monoidrato NON è corretta
A) il dosaggio deve essere stabilito in base alla risposta del paziente e al sito di somministrazione
B) deve essere somministrata la più bassa concentrazione necessaria per produrre l'effetto richiesto
C) è una sostanza attiva solubilissima in acqua, molto solubile in etanolo 96 per cento
D) la sostanza deve essere conservata protetta dalla luce
E) dopo l'apertura non sono richieste particolari condizioni di conservazione
208. Quando il gruppo carbossilico delle amminopenicilline viene esterificato come nella bacampicillina avente la struttura sotto indicata, si ottengono penicilline
A) utilizzabili come profarmaco per os
B) più attive
C) antipseudomonas
D) resistenti alle betalattamasi stafilococciche
E) prive delle caratteristiche indicate nelle altre risposte
209. Per stabilizzare una sospensione in acqua si può: quale delle sostanze sotto indicate si può sostituire l'algeldrato
A) Incrementare la viscosità della fase disperdente
B) Utilizzare un tensioattivo non ionico a concentrazione della c.m.c.
C) Aumentare il diametro della particella sospesa
D) Diminuire la viscosità della fase interna
E) Facilitare la formazione del coagulo
210. Nel trattamento di infezioni nosocomiali e di comunità, Linezolid è indicato
A) nel trattamento di polmoniti da batteri Gram positivi sensibili
B) nel trattamento di infezioni complicate della cute e dei tessuti molli solo quando il test microbiologico ha accertato che l’infezione e causata da batteri Grampositivi sensibili
C) in coinfezioni con patogeni Gram-negativi, se non sono disponibili alternative terapeutiche
D) il trattamento con linezolid deve essere iniziato solamente in ambito ospedaliero e dopo consultazione con uno specialista qualificato, microbiologo o infettivologo
E) le indicazioni sono corrette