F1
TastoEffeUno.it
La "Guida in linea" sul Web!
GUIDE
TUTORIALS
CORSI
TEMPLATE
VIDEO
QUIZ
GIOCHI DIDATTICI
Quiz CONCORSO PER L'ASSEGNAZIONE DI SEDI FARMACEUTICHE 2025
Suddivisione database ministeriale
GRUPPI DI QUESITI 241-270
241. Il polimero PEG 400, usato come eccipiente, appartiene alla classe
A) dei poliesteri
B) dei poliacidi
C) delle poliammidi
D) dei polieteri
E) degli idrocarburi
242. La segnalazione spontanea di reazione avversa da farmaci deve essere inviata al Responsabile di farmacovigilanza della struttura di appartenenza:
A) entro 3 giorni
B) entro 6 giorni
C) entro 15 giorni
D) entro 30 giorni
E) tempestivamente
243. Nel glaucoma ad angolo aperto è indicata
A) atropina
B) pilocarpina
C) fenilefrina
D) scopolamina
E) nessuna delle sostanze elencate
244. Quale delle seguenti classi di farmaci può indurre un sindrome extrapiramidale di tipo parkinsoniano
A) inibitori selettivi della ricaptazione della serotonina
B) antipsicotici tipici
C) beta-bloccanti
D) benzodiazepine
E) sali di litio
245. L'isosorbide mononitrato
A) determina il rilascio di NO
B) rilassamento della muscolatura liscia dei vasi sanguigni
C) è il metabolita attivo della isosorbide dinitrato
D) riduzione del carico e post carico cardiaco
E) le informazioni sono corrette
246. Su quale dei bersagli elencati agisce la lincomicina, avente la struttura indicata?
A) acidi nucleici della cellula batterica
B) parete cellulare batterica
C) metabolismo energetico della cellula batterica
D) sintesi proteica ribosomiale
E) membrana citoplasmatica
247. Il prefisso “nor” nel nome della noradrenalina sta ad indicare che questo composto, a confronto con l’adrenalina,
A) contiene un gruppo ossidrilico in meno nella catena laterale
B) contiene una unità carboniosa in meno nel nucleo aromatico
C) ne rappresenta l’antipodo ottico
D) non contiene il gruppo metilico sull’atomo di azoto
E) contiene una unità carboniosa in più nel nucleo aromatico
248. L’ispezione ordinaria in farmacia deve avvenire:
A) senza l’intervento del titolare o del direttore responsabile della farmacia
B) con l’intervento del titolare o del direttore responsabile della farmacia
C) con l’intervento di almeno un collaboratore della farmacia
D) con l’intervento di almeno un testimone
E) con l’intervento del Sindaco
249. Il principio attivo Lorazepam è:
A) un tiobarbiturico
B) un barbiturico
C) una benzoazepina
D) una benzodiazepina
E) una dibenzoazepina
250. Un cittadino dell’Unione Europea chiede informazione in farmacia per conoscere quale medicinale presente nel mercato italiano è corrispondente a quella in commercio nel suo Paese e che contiene un lassativo indicato nella classificazione ATC come A06
A) A06AA04
B) A06AB57
C) A06AB02
D) A07AA04
E) A07BA01
251. Degli accoppiamenti sotto indicati qual è quello corretto?
A) nifedipina - alfa-bloccante - antipertensivo
B) doxazosina - ACEinibitore - antipertensivo
C) enalapril - beta-bloccante - antipertensivo
D) acebutololo - Diuretico - antipertensivo
E) amlodipina - Ca2+antagonista - antipertensivo
252. Quale, tra quelle seguenti, corrisponde in maniera più precisa alla definizione di tolleranza
A) una diminuzione progressiva della risposta a un farmaco
B) un aumento rapido della risposta a un farmaco
C) un aumento della concentrazione del farmaco nel sito d’azione
D) una diminuita clearance del farmaco
E) nessuna delle definizioni indicate
253. Il suxametonio, corrispondente alla struttura rappresentata,
A) inibisce l’acetilcolinesterasi
B) stimola il rilascio di acetilcolina
C) si lega ai recettori nicotinici della placca motrice determinando depolarizzazione
D) compete come l’Acetilcolina sui recettori nicotinici della placca motrice senza depolarizzazione
E) stimola il rilascio di Ca++ dai depositi intracellulari innescando la contrazione
254. Quale delle affermazioni sottoriportate è corretta per la famotidina?
A) rallenta il metabolismo epatico di alcuni farmaci
B) e’parzialmente metabolizzata dal fegato e escreta principalmente per via renale
C) due delle risposte fornite sono corrette
D) causa ginecomastia
E) clinicamente non sono state registrate importanti interazioni metaboliche con altri farmaci
255. Tra le vie di somministrazione dei medicinali, quale di quelle sotto indicate presenta i maggiori inconvenienti nelle terapie con farmaci di natura peptidica
A) parenterale
B) nasale
C) rettale
D) orale
E) endovena
256. Il fenomeno dell’ “efflorescenza” è collegato
A) alla sublimazione dell’acqua
B) all’evaporazione dell’acqua
C) all’ebollizione dell’acqua
D) alla formazione di miscele eutettiche
E) alla formazione di miscele azeotropiche
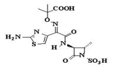
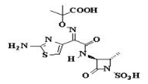
257. Su quale dei bersagli elencati agisce l’aztreonam, avente la struttura indicata?
A) acidi nucleici della cellula batterica
B) membrana citoplasmatica
C) parete cellulare batterica
D) sintesi proteica ribosomiale
E) metabolismo energetico della cellula batterica
258. La terapia con estrogeni non deve essere associata alla somministrazione di:
A) Sotalolo
B) Carvedilolo
C) Pindololo
D) Anastrozolo
E) Metoprololo
259. Quale dei seguenti farmaci agisce come agonista sui recettori alfa2 adrenergici?
A) più di uno di quelli indicati
B) clonidina
C) flecainide
D) cocaina
E) propranololo
260. La dosulepina è una sostanza la cui attività farmacologica principale è classificabile come
A) neurolettica
B) antistaminica
C) antidepressiva
D) sedativa
E) stimolatrice dell’appetito
261. Il principio attivo captopril, riportato in struttura, è:
A) un ACE inibitore
B) appartiene alla classe delle diidropiridine
C) è un bloccante dei canali del Ca2+
D) nessuna delle affermazioni riportate è corretta
E) più di una delle affermazioni riportate è corretta
262. Quale dei seguenti agenti può essere usato nel trattamento di infezioni micotiche sistemiche?
A) Ampicillina sale di sodio
B) Amfotericina B
C) Ciclopirox
D) Tiosolfato di sodio
E) Tetraciclina
263. A quale principio attivo viene riferito il suffisso “cillina” nella Denominazione Comune? A quello a cui appartiene il principio attivo:
A) ceftriaxone
B) ottenibile dall'acido 6amminopenicillanico
C) avente la struttura indicata a lato
D) cefalexina
E) due delle indicazioni sono corrette
264. L’aztreonam è attivo nei confronti di
A) gram positivi aerobi
B) gram positivi anaerobi
C) gram negativi aerobi
D) gram negativi anaerobi
E) amebe
265. La stimolazione dei recettori muscarinici determina
A) tachicardia
B) secchezza delle fauci
C) miosi
D) difficoltà alla minzione
E) costipazione
266. L’esibizione di documentazione di dimissione ospedaliera per la prosecuzione della terapia consente al farmacista la consegna di medicinali assoggettati a prescrizione medica senza presentazione di ricetta medica, in caso di necessità e urgenza, se l
A) da non più di una settimana
B) il giorno di acquisto o nei due giorni immediatamente precedenti
C) da non più di trenta giorni
D) il giorno di acquisto o nei tre giorni immediatamente precedenti
E) da non più di quindici giorni
267. Quale tra i farmaci ricordati è il più efficace dilatatore dei vasi di resistenza e dei vasi di capacitanza
A) nifedipina
B) nitrati
C) enalapril
D) nitroprussiato di sodio
E) minoxidil
268. Gli antidepressivi triciclici provocano nell’individuo sano:
A) sensazione soggettiva piacevole
B) miglioramento dell’umore
C) sedazione soggettiva sgradevole
D) euforia
E) vivacità e interesse per l’ambiente
269. Qualora in una preparazione galenica venisse prescritta la desossiefedrina la cui struttura è riportata a lato, l'etichetta da apporre sul contenitore deve
A) riportare l'indicazione veleno
B) riportare le proprietà farmacologiche della desossiefedrina
C) riportare che la preparazione possiede proprietà antistaminiche
D) essere di opportuno colore
E) riportare la corretta indicazione della normativa a cui è soggetta la preparazione
270. Quale delle seguenti affermazioni riguardanti il suxametonio è corretta:
A) interagisce con i recettori nicotinici del SNC
B) interagisce con il recettore muscarinico
C) è soggetto a veloce metabolismo ossidativo
D) viene escreto immodificato dall’organismo
E) induce blocco neuromuscolare