F1
TastoEffeUno.it
La "Guida in linea" sul Web!
GUIDE
TUTORIALS
CORSI
TEMPLATE
VIDEO
QUIZ
GIOCHI DIDATTICI
Quiz CONCORSO PER L'ASSEGNAZIONE DI SEDI FARMACEUTICHE 2025
Suddivisione database ministeriale
GRUPPI DI QUESITI 271-300
271. Gli inibitori selettivi del reuptake neuronale della serotonina sono indicati nella terapia di
A) parkinsonismo
B) schizofrenia
C) epilessia
D) depressione
E) fase maniacale della malattia bipolare
272. I farmaci beta bloccanti possono essere usati come
A) antiipertensivi
B) antianginosi
C) antiaritmici
D) per tutte le attività indicate
E) per una sola delle attività indicate
273. Esiste l’obbligo per l’operatore sanitario di comunicare al Ministero della Salute gli incidenti che abbiano coinvolto dispositivi medico-diagnostici in vitro muniti di marcatura CE?
A) si, solo per gli operatori sanitari pubblici
B) si, solo per gli operatori sanitari privati
C) si, per gli operatori sanitari pubblici e privati
D) si, solo per i farmacisti
E) no, non esiste alcun obbligo
274. Zanamivir agisce come:
A) anti HIV
B) antierpetico
C) anti HCV
D) antinfluenzale
E) anti RSV
275. L’azione inotropa positiva della digossina deriva da
A) stimolo dell’ATPasi Na+, K+-dipendente
B) aumento dell’AMP ciclico
C) aumento della conduttanza al K+
D) stimolo dei recettori beta adrenergici
E) aumento della concentrazione di Ca2+ citosolico
276. Quale delle seguenti classi di sostanze non induce effetti lassativi?
A) antrachinoni
B) fibre solubili
C) tannini
D) fibre insolubili
E) nessuna delle indicazioni è corretta
277. Per tisana si intende una soluzione estrattiva ottenuta:
A) solo per decozione di una o più droghe
B) solo per infusione di una o più droghe
C) per decozione, o infusione o macerazione di una o più droghe
D) trattando una o più droghe con acqua fredda
E) per azione di etanolo a varie gradazioni su droghe
278. Si ricorre alla “flocculazione” per:
A) Rallentare la velocità di sedimentazione
B) Aumentare la viscosità di una sospensione
C) Facilitare la ridispersione del materiale sedimentato in una sospensione
D) Aumentare la biodisponibilità di una sospensione
E) Evitare la separazione di fasi in una emulsione
279. In un paziente affetto da glaucoma cui si manifesta un episodio di depressione grave: quale dei seguenti antidepressivi deve essere evitato?
A) Amitriptilina
B) Sertralina
C) Bupropione
D) Mirtazapina
E) Fluvoxamina
280. L’alprazolam è un ansiolitico che agisce principalmente come
A) agonista parziale al sito per le benzodiazepine
B) agonista muscarinico
C) attivatore della mediazione GABA-ergica
D) agonista dei recettori 5- HT1A
E) bloccante dei recettori beta adrenergici
281. Cosa si intende per compliance?
A) il grado di corrispondenza del paziente nei confronti della terapia
B) la correttezza della via di somministrazione
C) la risposta del paziente alla terapia
D) la correttezza della posologia
E) nessuna delle indicazioni è corretta
282. La neostigmina è classificabile come farmaco
A) simpaticomimetico
B) simpaticolitico
C) parasimpaticomimetico
D) parasimpaticolitico
E) nessuno di quelli indicati
283. In quali forme farmaceutiche sono prodotti i medicinali omeopatici ?
A) gocce, fiale orali, sciroppi
B) colliri
C) pomate e supposte
D) compresse
E) tutte quelle indicate
284. Quale dei seguenti principi attivi viene usato come immunosoppressore dopo un trapianto renale?
A) Imatinib
B) carboplatino
C) ciclosporina
D) ifosfamide
E) tutte le indicazioni sono corrette
285. Quale dei seguenti principi attivi è un inibitore delle MAO?
A) Nortriptilina
B) Selegilina
C) Aloperidolo
D) Carbamazepina
E) Clorpromazina
286. La cera bianca può essere utilizzata per:
A) gelificare la fase continua di una crema idrofila
B) gelificare la fase continua di una crema idrofoba
C) emulsionare una fase acquosa per la costituzione di una base bifasica O/A
D) emulsionare una fase acquosa per la costituzione di una base bifasica A/O
E) tutte le indicazioni sono corrette
287. Può la farmacia dispensare al paziente medicinali utilizzabili esclusivamente dallo specialista?
A) no, mai
B) si, purchè sia stata rilasciata apposita autorizzazione dalla Regione
C) si, purchè non li venda al pubblico
D) si, purchè riceva specifica richiesta dallo specialista
E) si, purchè sia stato prevista da apposita convenzione regionale
288. I plasmodi della malaria sono
A) batteri
B) virus
C) funghi
D) elminti
E) protozoi
289. Quanto può durare al massimo il periodo di sostituzione per infermità del titolare di una farmacia?
A) un periodo continuativo di 5 anni
B) un periodo continuativo di 6 mesi
C) un periodo continuativo di 2 mesi
D) un periodo continuativo di 1 anno
E) un periodo continuativo di 3 anni
290. L’impiego dei farmaci antagonisti dei recettori beta adrenergici nell’angina pectoris è giustificato in quanto
A) risolvono la sintomatologia dolorosa durante l’attacco
B) risolvono gli spasmi dei vasi coronarici
C) hanno azione cronotropa e inotropa negativa
D) diminuiscono il tempo di perfusione coronarica
E) diminuiscono il ritorno venoso
291. Per quanto tempo il farmacista è tenuto a conservare le ricette non ripetibili recanti la prescrizione di farmaci non stupefacenti spedite in regime di Servizio Sanitario Nazionale?
A) cinque anni
B) tre anni
C) non c'è obbligo di conservazione per queste ricette
D) sei mesi
E) tre mesi
292. Il mifepristone è utilizzato per porre termine a una gravidanza iniziale. Indicare quale dei seguenti effetti sfavorevoli è proprio di questo farmaco.
A) sanguinamento prolungato
B) vomito
C) diarrea
D) tutti quelli indicati
E) tutti quelli indicati tranne uno
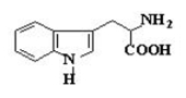
293. I messaggeri chimici si formano da sostanze che vengono immesse nell’organismo con la dieta. Dal triptofano, avente la struttura indicata, quale metabolita si forma?
A) Melatonina
B) Serotonina
C) Dopamina
D) Istamina
E) più di uno tra quelli indicati
294. Quale delle seguenti espressioni risulta corretta:
A) il farmacista può operare ogni forma di pubblicità in favore di esercenti altre professioni sanitarie o di strutture sanitarie
B) i rapporti tra farmacista e sanitari abilitati alla prescrizione di medicinali non devono essere motivati e condizionati da interessi o vantaggi economici nel rispetto della normativa vigente
C) è consentito proporre o accettare accordi tendenti a promuovere la dispensazione di medicinali a prescindere da effettive necessità terapeutiche
D) il farmacista può promuovere iniziative di accaparramento di prescrizioni mediche
E) il farmacista può effettuare operazioni promozionali a premio (3x2, fidelity card ecc.) anche con riferimento ai farmaci
295. Nell’annotare il prezzo in etichetta apposta sul recipiente dei medicinali galenici magistrali allestiti in farmacia, il farmacista è tenuto a specificare l’importo di ciascuna sostanza?
A) si, sempre
B) no, mai
C) sì, ma solo se tra le sostanze è presente un veleno
D) no, è obbligatorio indicare solo l'importo complessivo del medicinale
E) nessuna delle indicazioni fornite
296. La velocità di rilascio del farmaco da matrici rigonfiabili è controllato da:
A) velocità di penetrazione del liquido acquoso esterno al sistema
B) la velocità di rilassamento della matrice
C) le risposte A e B sono corrette
D) la velocità di dissoluzione della matrice
E) la velocità di disaggregazione della matrice
297. La sostanza attiva carbidopa è utilizzato nella terapia antiparkinson in quanto è in grado di bloccare un particolare sistema enzimatico. Quale, tra quelli sotto elencati
A) aldeide deidrogenasi
B) alcool deidrogenasi
C) MAO-B
D) decarbossilasi degli Laminoacidi aromatici (DDC) a livello periferico
E) acetilcolinesterasi
298. Quale delle seguenti affermazioni sulla clearance è FALSA?
A) consente di calcolare la concentrazione allo stato stazionario
B) e’ un indice della capacità di eliminazione
C) misura la massa di xenobiotico eliminato
D) e’ indipendente dalla concentrazione plasmatica
E) e’ inversamente proporzionale all’emivita
299. Sono neurolettici:
A) le idantoine
B) le benzodiazepine
C) i butirrofenoni
D) le metilxantine
E) le amfetamine
300. Il termine “compliance”, comunemente indicato nella pratica terapeutica, riguarda principalmente il comportamento
A) del medico
B) dell’infermiere
C) del farmacista
D) del paziente
E) dei parenti del paziente