F1
TastoEffeUno.it
La "Guida in linea" sul Web!
GUIDE
TUTORIALS
CORSI
TEMPLATE
VIDEO
QUIZ
GIOCHI DIDATTICI
Quiz CONCORSO PER L'ASSEGNAZIONE DI SEDI FARMACEUTICHE 2025
Suddivisione database ministeriale
GRUPPI DI QUESITI 361-390
361. Il meccanismo d'azione dell'aloperidolo e dei suoi derivati è:
A) inibizione della captazione della dopamina a livello sinaptico
B) interazione con i recettori GABA-ergici
C) aumento della captazione di dopamina a livello sinaptico
D) inibizione della liberazione di dopamina
E) antagonismo con i recettori D2 dopaminergici
362. Quale è l’idrocarburo aromatico tetraciclico al quale fanno riferimento le tetracicline, aventi la struttura indicata?
A) ciclopentanoperidrofenant rene
B) naftalene
C) benzopirene
D) naftacene
E) fenantrene
363. Per quale motivo il rivestimento delle compresse costituito Eudragit E100 si solubilizza facilmente a livello gastrico? In quanto:
A) La presenza dell’ammina terziaria rende il copolimero solvatabile in acqua depurata
B) La presenza dell’ammina terziaria conferisce al polimero un carattere anfotero
C) La protonazione dell’ammina terziaria a pH fortemente acido rende il polimero solvatabile dall’acqua La protonazione dell’ammina terziaria a pH fortemente acido rende il polimero solvatabile dall’acqua
D) In ambiente acido si idrolizza immediatamente
E) Nessuna delle risposte precedenti è corretta
364. I diuretici inibitori dell'anidrasi carbonica riducono l'escrezione urinaria di farmaci quali quelli indicati (propranololo, chinidina) in quanto producono
A) alcalosi metabolica
B) alcalinizzazione dell'urina
C) fosfaturia e ipercalciuria
D) acidosi metabolica ipercloremica
E) calcolosi renale
365. Farmaci come l’eritromicina e l’azitromicina prolungano l’intervallo QT con il rischio di sviluppare:
A) flutter atriale
B) fibrillazione atriale
C) aritmie ventricolari
D) tachicardia parossistica sopraventricolare
E) nessuna delle indicazioni
366. Degli accoppiamenti sotto indicati, qual è quello corretto riguardante l'enalapril
A) alfa2-bloccante - Antipertensivo
B) antipertensivo - ACEinibitore
C) tiazide - Diuretico
D) diuretico - ACE-inibitore
E) antipertensivo - Ca2bloccante
367. L’uso di nafazolina in pazienti pediatrici è controindicato per il rischio di effetti avversi:
A) gastrointestinali
B) a carico del sistema nervoso centrale
C) a livello renale
D) a livello epatico
E) a livello ematico
368. Qual è l'indicazione terapeutica del sistema transdermico contenente clonidina?
A) antianginoso
B) estrogeno
C) anticinetosico
D) antipertensivo
E) ipoglicemico
369. La carbossimetil cellulosa sodica viene impiegata in numerose preparazioni per uso orale o topico. Quale ,tra quelle indicate, è una affermazione errata?
A) ha impiego come legante
B) ha impiego come viscosizzante
C) non assorbe acqua
D) ha impiego come sospendente
E) ha impiego come disaggregante
370. Il farmacista è tenuto a segnalare reazioni avverse da farmaci, mediante la scheda di segnalazione di sospetta reazione avversa a farmaci (ADR) degli eventi avversi a farmaci, o direttamente online sul sito dell’AIFA
A) quando si tratti di medicinali non soggetti a prescrizione medica
B) quando si tratti di vaccini
C) quando si tratti di medicinali da banco (OTC)
D) in tutti i casi di cui venga a conoscenza
E) quando si tratti di farmaci non soggetti a prescrizione medica (SOP)
371. Quale tra i farmaci elencati è impiegato per la sua azione fibrinolitica
A) clopidogrel
B) acido tranexamico
C) attivatore tissutale del plasminogeno
D) acido acetilsalicilico
E) ticlopidina
372. Il principio attivo ketoprofen, avente la struttura indicata, presenta
A) un atomo di carbonio asimmetrico
B) due atomi di carbonio asimmetrici
C) tre atomi di carbonio asimmetrici
D) nessun atomo di carbonio asimmetrico
E) isomeria cis-trans
373. Di quale colore deve essere il camice che i farmacisti sono obbligati a indossare nell’attività professionale al pubblico?
A) non è obbligatorio indossare un camice
B) il colore è liberamente scelto dal titolare della farmacia, purché adeguato al decoro professionale
C) dipende dall’ambito in cui il farmacista opera
D) di qualsiasi colore, purché rechi ben visibile l’indicazione della qualifica di farmacista
E) sempre bianco
374. Una delle classificazioni molto utilizzate nel settore delle cefalosporine è quella che si riferisce alle successive “generazioni” degli antibiotici appartenenti alla classe. Quale delle indicazioni sotto riportate è corretta? Le cefalosporine
A) di prima generazione sono attive principalmente sui batteri Gram-negativi
B) di seconda generazione sono attive principalmente sui batteri Gram-positivi
C) di terza generazione presentano una buona resistenza alle betalattamasi
D) di seconda generazione sono attive contro la Pseudomonas
E) le indicazioni fornite sono tutte errate
375. L’Autorità Competente in materia di dispositivi medicodiagnostici in vitro è:
A) il Ministero della Salute
B) il Ministero della Salute, insieme all’Agenzia Nazionale per i Servizi Sanitari (AGENAS)
C) l’Istituto Superiore di Sanità
D) l’Agenzia Nazionale per i Servizi Sanitari (AGENAS)
E) nessuna delle indicazioni è corretta
376. L'amiodarone, un antiaritmico avente la struttura indicata può produrre gli effetti indesiderati riportati ad ECCEZIONE di
A) irsutismo
B) fibrosi polmonare
C) tremore
D) alterata funzione tiroidea
E) depositi corneali
377. Quale tra i farmaci antimicrobici seguenti riesce a provocare modificazioni del metabolismo energetico della cellula batterica.
A) trimetoprim
B) tetraciclina
C) nitroimidazoli
D) penicilline
E) più di uno tra quelli indicati
378. Cosa deve obbligatoriamente fare, entro 24 ore, il farmacista in caso di perdita, smarrimento o sottrazione del registro di entrata e uscita stupefacenti?
A) Avvertire la A.S.L. di competenza, che provvederà a fare denuncia
B) procurarsi un nuovo registro senza preoccuparsi di altre formalità
C) Farne denuncia alla Procura della Repubblica e darne comunicazione alla A.S.L.
D) richiedere apposito accertamento ispettivo
E) fare denuncia all’Autorità di Pubblica Sicurezza e darne comunicazione all'Autorità sanitaria locale di competenza
379. Prendono il nome di “leganti” gli eccipienti che:
A) consentono la coesività di aggregati di polvere nei processi di granulazione o compattazione
B) permettono alle compresse di disgregarsi in granuli
C) evitano alla polvere di aderire ai punzoni e alle matrici
D) si mescolano con le altre polveri per far raggiungere alle compresse una massa opportuna
E) hanno più di una delle proprietà indicate
380. Come deve compiersi la chiusura quinquennale del registro entrata e uscita stupefacenti?
A) annullando tutti gli spazi vuoti
B) annunciando i dati riassuntivi di entrate, uscite e giacenze
C) annotando le sole giacenze
D) la chiusura non è quinquennale, ma trimestrale
E) la chiusura non è quinquennale, ma annuale
381. I nucleosidi fosfonati agiscono come:
A) antibatterici
B) antivirali
C) anticancro
D) antiipertensivi
E) antitussivi
382. Quale è l’attività farmacologica più rilevante che può essere ipotizzata per il ketotifene, avente la struttura indicata?
A) anticonvulsivante
B) antimicotica
C) colinergica
D) antistaminica - H1
E) antimuscarinica
383. Quale, tra i farmaci antimicrobici seguenti, agisce a livello ribosomiale inibendo la sintesi proteica ?
A) cefalosporine
B) polimixine
C) macrolidi
D) polipeptidici
E) nessuno di quelli indicati
384. L’uso di preparati a base di ibuprofene in associazione a farmaci come il clopidrogrel può esporre a rischio di:
A) insufficienza renale
B) crisi convulsive
C) perdita dell’efficacia dell’ibuprofene
D) sanguinamento
E) nessuna delle indicazioni è corretta
385. Quale affermazione è corretta riguardo la formulazione di uno sciroppo semplice?
A) Deve contenere almeno il 50% alcol per conservazione e solubilità del farmaco
B) Zuccheri/edulcoranti aumentano solo viscosità, non conservazione
C) Soluzione acquosa quasi satura di zuccheri, che migliora gusto e conserva zione per elevata pressione osmotica
D) pH non influisce sulla stabilità né palatabilità
E) Sciroppi non devono contenere addensanti perché rallentano assorbimento
386. La maggior parte dei recettori alfa2 adrenergici, 5-HT1 serotoninergici e D2 dopaminergici hanno in comune
A) la localizzazione nel nodo atrioventricolare
B) l'accoppiamento negativo nei confronti dell'adenilato ciclasi
C) una struttura caratterizzata dalla presenza di un canale ionoforo
D) il ruolo nella regolazione della glicemia
E) la struttura caratterizzata dalla presenza di quattro domini transmembrana
387. E’ ammessa la gestione di una farmacia privata mediante società di capitali?
A) sì, purchè la direzione della farmacia sia affidata a un farmacista in possesso del requisito dell'idoneità
B) no
C) si, purchè i soci siano farmacisti
D) si, purchè il capitale sociale non sia inferiore a cinquantamila euro
E) si, purchè i soci abbiano svolto la pratica professionale biennale
388. Nell'avvelenamento da atropina, avente la struttura indicata, si ha
A) tachicardia
B) secchezza delle fauci con difficoltà alla deglutizione
C) cute calda e asciutta
D) midriasi spiccata
E) tutti gli effetti indicati
389. Quale, tra le benzodiazepine sottoelencate, ha emivita più breve?
A) diazepam
B) bromazepam
C) flurazepam
D) triazolam
E) clordiazepossido
390. L'efedra (parti aeree di Ephedra sinica Stapf.) può indurre tutti i seguenti effetti tranne:
A) stimolazione del SNC
B) ictus
C) tachicardia
D) ipertensione
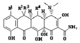
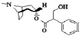
E) broncospasmo