F1
TastoEffeUno.it
La "Guida in linea" sul Web!
GUIDE
TUTORIALS
CORSI
TEMPLATE
VIDEO
QUIZ
GIOCHI DIDATTICI
Quiz CONCORSO PER L'ASSEGNAZIONE DI SEDI FARMACEUTICHE 2025
Suddivisione database ministeriale
GRUPPI DI QUESITI 391-420
391. Quale delle seguenti affermazioni riguardanti il dimeticone è corretta
A) è anche un eccipiente
B) viene facilmente metabolizzato
C) non contiene silicio nella molecola
D) è esattamente identico al simeticone
E) sono riportate più affermazioni corrette
392. Quale tra le sostanze indicate si definisce diluente per polveri?
A) talco
B) fenolo
C) lattosio
D) acido benzoico
E) acido ascorbico
393. Il monossido d’azoto (NO) viene prodotto nell’organismo
A) dalla conversione dell’arginina in citrullina ad opera delle ossido nitrico sintetasi (NOS)
B) attraverso il ciclo dell’urea
C) per intervento del citocromo P-450
D) per ossidazione dei leucotrieni
E) per autoossidazione della dopamina
394. L'indice terapeutico
A) è la relazione tra la dose di un farmaco e il livello di risposta ottenuto
B) è un aspetto qualitativo della risposta terapeutica ai farmaci
C) è il rapporto tra dose terapeutica e letale per il 50% dei casi trattati
D) è il rapporto tra DL50 e DE50
E) correla dosi che producono il massimo effetto desiderato e il massimo effetto tossico
395. L’anandamide è:
A) un antagonista competitivo dei recettori cannabinoidi
B) un agonista endogeno dei recettori cannabinoidi
C) un agonista indiretto dei recettori cannabinoidi
D) sia agonista diretto che agonista inverso dei recettori per i cannabinoidi
E) più di una indicazione è corretta
396. Alcune specialità medicinali sono utilizzabili come sistemi terapeutici transdermici. Qual è l’indicazione terapeutica principale del sistema transdermico contenente estrogeni
A) anticinetosico
B) ipoglicemizzante
C) antianginoso
D) antipertensivo
E) trattamento dei sintomi della menopausa
397. Quale, tra le sostanze elencate, agisce come ipotensivo in quanto viene metabolizzato a livello delle cellule endoteliali per dare monossido di azoto?
A) minoxidil
B) diazossido
C) labetalolo
D) sodio nitroprussiato
E) idralazina
398. Il farmacista può effettuare aumenti del prezzo di vendita dei medicinali per uso umano assoggettati a ricetta medica?
A) si, sempre
B) no, mai
C) si, previo parere del Ministero della Salute
D) si, previo parere di congruità dell’Ordine
E) si, previo assenso dell’Azienda Sanitaria Locale
399. L’anticorpo monoclonale infliximab NON è indicato:
A) nel trattamento della spondilite anchilosante
B) nel trattamento della malattia di Crohn
C) nel trattamento dell’angina instabile
D) nel trattamento della colite ulcerosa
E) nel trattamento dell’artrite psoriasica
400. Quale è l’attività farmacologica più rilevante della metacolina
A) antistaminica - H2
B) agonista adrenergica
C) ansiolitica
D) colinergica
E) antimuscarinica
401. Su quale parte del nefrone agiscono prevalentemente i diuretici risparmiatori di K+?
A) sulla parte distale del tubulo contorto distale
B) sulla parte prossimale del tubulo contorto distale
C) sul ramo ascendente dell’ansa di Henle
D) sul ramo discendente dell’ansa di Henle
E) sul tubulo convoluto prossimale
402. Secondo la F.U. , su quante unità si esegue il saggio dell’uniformità di massa delle forme farmaceutiche officinali e magistrali?
A) 5
B) 10
C) 20
D) 50
E) 100
403. In caso di dispensazione di medicinali stupefacenti della Tabella dei Medicinali Sez. A, il farmacista è tenuto a trascrivere in ricetta gli estremi di un documento di riconoscimento dell’acquirente?
A) sì, sempre
B) solo se l'acquirente ha un'età inferiore ai 18 anni
C) si qualora l'acquirente sia persona diversa dall'intestatario della ricetta
D) solo nel caso l'acquirente non sia conosciuto
E) si, qualora la persona sia manifestamente inferma di mente
404. I farmaci antagonisti adrenergici trovano applicazione nella terapia cardiovascolare. In quale delle seguenti categorie terapeutiche si collocano?
A) Fibrinolitici
B) Anticoagulanti
C) Coagulanti
D) Antipertensivi
E) nessuna delle indicazioni è corretta
405. Ai sensi del Regolamento Europeo (CE) n. 1223/2009 quando a causa delle dimensioni o della forma dell’etichetta di un prodotto cosmetico sia impossibile riportare le precauzioni particolari per l’impiego e l’elenco degli ingredienti
A) dette indicazioni devono figurare su una fascetta o un cartellino allegato al prodotto cosmetico
B) dette indicazioni posso essere omesse completamente
C) dette indicazioni possono essere riportate in forma abbreviata
D) dette indicazioni posso essere omesse ma indicate per relationem sul sito internet del produttore
E) possono essere riportati solo gli ingredienti presenti in concentrazione superiore al 5%
406. L’amamelide (foglie di Hamamelis virginiana L.) è utilizzata come:
A) emolliente
B) lassativo
C) astringente
D) sedativo
E) nessuna delle indicazioni è corretta
407. Quale delle indicazioni seguenti corrisponde maggiormente alla definizione di “pirogeno”
A) sostanza volatile che provoca infiammazione
B) prodotti di decomposizione degli eccipienti favorita dall’esposizione alla luce
C) tracce di prodotti anticrittogamici presenti nel veicolo acquoso delle fiale
D) prodotti di decomposizione del farmaco favorita dall’esposizione alla luce
E) prodotti di origine esogena o endogena che provocano un aumento della temperatura corporea
408. L’azatioprina, riportata nella struttura indicata, è un profarmaco della mercaptopurina progettato con lo scopo principale di
A) facilitare l’assorbimento
B) diminuire la tossicità
C) aumentare l’attività
D) proteggere la 6mercaptopurina da una rapida ossidazione
E) indirizzare l’attività a livello del sistema linfatico
409. Un trattamento cronico con propranololo NON va interrotto bruscamente in quanto si può avere
A) intensa vasodilatazione
B) inotropismo negativo
C) tachicardia
D) blocco atrioventricolare
E) tutte le indicazioni sono corrette
410. Può essere effettuata da parte degli informatori scientifici pubblicità presso i farmacisti di medicinali vendibili senza presentazione di ricetta medica?
A) no, mai
B) no, senza autorizzazione ministeriale
C) si, solo per le informazioni contenute nel riassunto delle caratteristiche del prodotto
D) si
E) no, a meno che non si tratti di farmacisti ospedalieri
411. Per prebiotici si intende:
A) sostanze organiche non digeribili capaci di stimolare selettivamente la crescita o l’attività di batteri utili nel colon
B) organismi vivi che apportano beneficio alla salute rafforzando l’ecosistema intestinale
C) amminoacidi essenziali
D) precursori di mediatori chimici
E) provitamine
412. Gli antidepressivi triciclici causano frequentemente:
A) tolleranza
B) secchezza delle fauci
C) dipendenza
D) diarrea
E) allergia
413. Quale delle seguenti affermazioni è corretta?
A) la vitamina B12 previene i sintomi neurologici da carenza di folati
B) la vitamina B12 corregge l’anemia da carenza di folati
C) i folati prevengono i sintomi neurologici da carenza di vitamina B12
D) i folati curano l’anemia da carenza di ferro
E) i folati, ad alte dosi, possono portare un miglioramento nell’anemia da carenza di B12
414. Una ricetta magistrale ripetibile deve essere
A) trattenuta e conservata per tre mesi
B) trattenuta e conservata per sei mesi
C) trattenuta e conservata per un anno
D) trattenuta e conservata per cinque anni
E) conservata in copia per sei mesi e restituita al paziente con il timbro della farmacia e l’annotazione del prezzo praticato
415. Diuretici che nella loro struttura presentano il gruppo - SO2NH2 come acetazolamide e diclofenamide agiscono in quanto
A) inattivano i meccanismi controcorrente di concentrazione dell'urina
B) inibiscono il simporto Na+, K+, 2Cl
C) inibiscono il simporto Na+, Cl
D) linibiscono l'anidrasi carbonica
E) bloccano i canali del Na+ nel tubulo contorto distale e nel dotto collettore
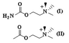
416. In farmaci agonisti del recettore muscarinico l’ossidrile della colina può essere esterificato da gruppi acilici diversi per dare i due composti del tipo (I) e (II) la cui azione farmacologica si differenzia
A) per più di una delle indicazioni riportate
B) per l’interazione con recettori diversi
C) per il meccanismo d’azione
D) per la biodisponibilità
E) per la durata d’azione
417. Quale delle seguenti vie di somministrazione può essere soggetta parzialmente al metabolismo epatico di primo passaggio?
A) via rettale
B) via intramuscolare
C) via sottocutanea
D) via orale
E) via sublinguale
418. Una formula per lattanti è erogabile a carico del SSN:
A) mai
B) se la mamma non allatta al seno
C) solo per lattanti nati da mamme HIV positive
D) per tutte le patologie che rendono controindicato l’allattamento materno
E) in base al reddito delle famiglie
419. Quale, tra i farmaci antimicrobici seguenti, agisce sulla parete cellulare batterica?
A) Trimetoprim
B) Monobattami
C) Bacitracina
D) Amminoglicosidi
E) Più di uno
420. Il metabolismo è una forma di eliminazione perché:
A) comporta generalmente la perdita dell’attività biologica
B) avviene principalmente nel rene
C) avviene principalmente nel fegato
D) comporta variazioni della frazione assorbita
E) comporta variazioni del volume di distribuzione