F1
TastoEffeUno.it
La "Guida in linea" sul Web!
GUIDE
TUTORIALS
CORSI
TEMPLATE
VIDEO
QUIZ
GIOCHI DIDATTICI
Quiz CONCORSO PER L'ASSEGNAZIONE DI SEDI FARMACEUTICHE 2025
Suddivisione database ministeriale
GRUPPI DI QUESITI 451-480
451. In quale caso è consentito che la pubblicità di un medicinale possa contenere elementi che potrebbero indurre il cittadino che volesse assumere il medicinale stesso a ritenere superflua la consultazione di un medico?
A) per farmaci vendibili senza obbligo di ricetta (SOP)
B) per i soli farmaci OTC
C) in nessun caso
D) per i soli farmaci riportati dalla Farmacopea europea
E) per i farmaci generici
452. L'aminofillina è utilizzata nella terapia di:
A) asma
B) ulcera peptica
C) insonnia
D) extrasistoli ventricolari
E) diabete insipido
453. Le intossicazioni da composti contenenti rame si trattano con
A) o-fenantrolina
B) desferrioxamina
C) 8-metossichinolina
D) penicillamina
E) 2,3-dimercaptopropranolo
454. Quale delle seguenti sostanze viene impiegata nel rivestimento delle compresse come agente filmogeno gastroresistente?
A) metilidrossietilcellulosa
B) sodio carbossimetilcellulosa
C) polivinilpirrolidone
D) cellulosa aceto ftalato
E) polietilenglicoli
455. I farmaci oxitocici sono farmaci che
A) inibiscono la motilità dell'intestino
B) stimolano la motilità dell'intestino
C) inibiscono la motilità dell'utero
D) stimolano la motilità dell'utero
E) stimolano la contrazione della vescica
456. Quale tra i seguenti antibiotici presenta ototossicità?
A) neomicina
B) amoxicillina
C) cloramfenicolo
D) lincomicina
E) ciprofloxacina
457. Con quale dei seguenti nomi viene anche indicata la vitamina PP ?
A) acido retinoico
B) axeroftolo
C) piridossina
D) biotina
E) nicotinammide
458. L'amlodipina, avente la struttura indicata, è utilizzata come antipertensivo. Quale delle affermazioni che lo riguardano è corretta?
A) ha attività Ca2+ antagonista
B) provoca un consistente aumento della frequenza cardiaca
C) più di una delle affermazioni riportate è corretta
D) riduce la resistenze vascolari periferiche
E) ha un’azione antipertensiva più spiccata nei confronti dei valori massimi
459. Quali tra gli incidenti con dispositivi medico-diagnostici in vitro indicati devono essere comunicati dall'operatore sanitario al Ministero della Salute?
A) solo quelli relativi ai dispositivi medicodiagnostici in vitro per test autodiagnostici
B) solo quelli relativi ai dispositivi medicodiagnostici in vitro appartenenti all’Allegato II del D.Lgs. 138/2022
C) quelli gravi, come definiti dall’art. 2 del Regolamento (UE) 2017/746
D) quelli relativi a tutti i prodotti utilizzati in laboratorio
E) quelli relativi ai soli dispositivi medicodiagnostici in vitro notificati all’Autorità Competente ai sensi dell’Art. 10 della Direttiva 98/79
460. La principale causa di gastrolesività degli antinfiammatori non steroidei è rappresentata
A) dalla stimolazione della liberazione di colecistochinina
B) dalla stimolazione del sistema colinergico a livello gastroenterico
C) dalla stimolazione del sistema istaminergico a livello gastroenterico
D) dal blocco del sistema peptidergico
E) dal blocco della sintesi di prostaglandine ad azione citoprotettiva a livello gastrico
461. Delle combinazioni sotto riportate, riguardanti le quattro strutture A, B, C e D che rappresentano due farmaci ed i corrispondenti metaboliti, individuare quella che si riferisce ai metaboliti
A) A-C
B) A-D
C) C-B
D) B-D
E) C-D
462. Per un farmaco biotecnologico è importante:
A) la conformazione nativa
B) la conformazione denaturata
C) una conformazione intermedia
D) la conformazione meno stabile
E) una conformazione ad elevata energia
463. Una ricetta ripetibile in cui sia indicato un numero di confezioni superiore all’unità esclude la ripetibilità della dispensazione?
A) sì, ma non esclude la dispensazione frazionata
B) no, la ripetibilità è consentita 10 volte in 6 mesi, per il numero di confezioni indicato
C) sì, ed esclude anche la dispensazione frazionata
D) no, e la ripetibilità del numero di confezioni indicato è consentita per 6 mesi
E) no, e la ripetibilità del numero di confezioni indicato è consentita per un mese
464. Nella profilassi antimalarica l’atovaquone si associa con:
A) chinina
B) meflochina
C) proguanile
D) doxiciclina
E) tetraciclina
465. Quale tra queste forme farmaceutiche è più occlusiva?
A) gel idrofilo
B) emulsione O/A
C) sia emulsione A/O che O/A
D) emulsione A/O
E) crema anfifila
466. Il metimazolo riduce i livelli di T3 principalmente:
A) accelerando il metabolismo periferico del T4
B) inibendo la proteolisi della globulina legante la tiroxina
C) inibendo la secrezione di tireotropina (TSH)
D) inibendo la captazione di ioduro nelle cellule tiroidee
E) inibendo l’incorporazione dello ioduro nei residui di tirosina
467. Il farmacista può svolgere attività di farmacovigilanza?
A) sì, deve
B) no, è riservata ai medici ed ai veterinari
C) sì, ma deve ottenere apposita autorizzazione da parte dell’A.S.L.
D) sì, ma soltanto quello ospedaliero
E) no, è compito degli organi di vigilanza sulle farmacie
468. Quando il gruppo amminico del 6-APA viene acilato con il gruppo R sotto indicato, si ottiene l’amoxicillina, appartenente alla classe delle penicilline
A) ritardo
B) gastroresistenti
C) con carattere di profarmaco ed aventi la stessa attività delle penicilline corrispondenti
D) antipseudomonas
E) aventi più di una delle caratteristiche indicate
469. Quale problema comporta l’uso del farmaco antifungino itraconazolo?
A) instabilità chimica del principio attivo
B) formazione di un metabolita molto tossico
C) interazione con numerosi altri farmaci per inibizione dell’attività del CYP 3A4
D) eruzioni cutanee molto serie
E) nessuno di quelli indicati
470. Per quale motivo le compresse rivestite con un prodotto che presenta un gruppo funzionale estereo e uno acido si solubilizzano facilmente a livello intestinale?
A) il riivestimento ha carattere cationico
B) in ambiente acido si saponifica la funzione esterea del rivestimento
C) in ambiente acido si salifica la funzione carbossilica del rivestimento
D) per tutti i motivi indicati
E) per nessuno dei motivi indicati
471. Da chi può essere promosso ricorso avverso la proclamazione dei risultati delle elezioni per il consiglio direttivo dell’Ordine dei Farmacisti?
A) da ogni iscritto
B) dal Ministro della Salute
C) dal Prefetto
D) dal procuratore della Repubblica
E) dall’iscritto che abbia un anzianità di iscrizione superiore a cinque anni
472. Il triesifenidile, avente la struttura indicata, è utilizzato nella terapia del morbo di Parkinson. Esso agisce:
A) come antagonista colinergico
B) come agonista colinergico
C) come antagonista dopaminergico
D) come agonista dopaminergico
E) con altro meccanismo
473. Quale dei seguenti principi attivi appartiene alla classe dei tiazolidindioni ipoglicemizzanti?
A) repaglinide
B) glimepiride
C) metformina
D) pioglitazone
E) sulpiride
474. L’indometacina ha la struttura indicata. Quale delle indicazioni sotto riportate e ad essa riferite è corretta
A) presenta effetti collaterali
B) costituisce un valido antipiretico
C) nei medicinali in commercio si trova associazione con proclorperazina dimaleato
D) viene assorbita molto bene a livello gastrico a seguito di somministrazione per o
E) più di una indicazione è corretta
475. La nicotina, avente la struttura indicata, mima gli effetti dell’acetilcolina a livello di:
A) cellule muscolari lisce del tratto gastroenterico
B) cellule muscolari lisce della vescica urinaria
C) muscolo circolare (costrittore) dell’iride
D) cellule cardiache pacemaker del nodo senoatriale
E) cellule cromaffini della midollare del surrene
476. L’uso prolungato di cranberry o mirtillo rosso americano (succo di Vaccinium macrocarpon Ait.), può esporre al rischio di interazioni farmacologiche con farmaci:
A) ipoglicemizzanti
B) ipocolesterolemizzanti
C) anticoagulanti
D) diuretici
E) antipertensivi
477. Quale citocromo è coinvolto nei meccanismi di biotrasformazione di un farmaco:
A) citocromo p 25
B) citocromo P 50
C) citocromo T 36
D) citocromo P 450
E) citocromo B 150
478. Gli importi dei costi di preparazione indicati nella tariffa nazionale per la vendita al pubblico dei medicinali sono
A) fissi ma indicano soltanto il minimo
B) fissi
C) meramente indicativi
D) fissi ma solo per le farmacie urbane
E) fissi ma indicano soltanto il massimo
479. Il metronidazolo NON è indicato in caso di:
A) vaginite da Trichomonas
B) colite pseudomembranosa (da antibiotici)
C) infezioni gravi da anaerobi
D) amebiasi intestinale
E) malaria
480. Un cosmetico può contenerere spironolattone?
A) no, perché presente nell'elenco delle sostanze non ammesse
B) si, se il contenuto è inferiore allo 0,2%
C) si, se non produce effetti sistemici.
D) si, se il contenuto è inferiore allo 0,1%
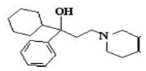
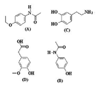
E) più di una delle indicazioni è corretta