F1
TastoEffeUno.it
La "Guida in linea" sul Web!
GUIDE
TUTORIALS
CORSI
TEMPLATE
VIDEO
QUIZ
GIOCHI DIDATTICI
Quiz CONCORSO PER L'ASSEGNAZIONE DI SEDI FARMACEUTICHE 2025
Suddivisione database ministeriale
GRUPPI DI QUESITI 481-510
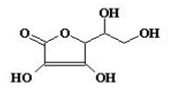
481. L'etoposide è un antineoplastico semisintetico derivato da:
A) Emetina
B) Vinblastina
C) Vincristina
D) Colchicina
E) Podofillotossina
482. Quale delle seguenti affermazioni sulla gomma guar è corretta?
A) non interferisce con il metabolismo glucidico
B) e’ una fibra solubile ottenuta dai semi di Cyamopsis tetragonolobus L.
C) e’ un essudato gommoso di alcune specie del genere Astragalus
D) e’ una resina ottenuta dai semi di Ceratonia siliqua L.
E) può aumentare l’assorbimento di farmaci somministrati contemporaneamente
483. L’insulina ricombinante si ottiene da cellule di:
A) baculovirus
B) batteri
C) criceto
D) uomo
E) specie vegetali
484. Cosa si intende per “rintracciabilità" degli alimenti e dei mangimi?
A) la possibilità di rintracciare un alimento a rischio
B) la possibilità di rintracciare un prodotto di origine animale nei depositi e magazzini di stoccaggio
C) la possibilità di ricostruire e seguire il percorso di un alimento, di un mangime, di un animale destinato alla produzione alimentare o di una sostanza destinata o atta ad entrare a far parte di un alimento o di un mangime attraverso tutte le fasi dell
D) la possibilità di rintracciare un prodotto alimentare nella ditta di produzione
E) la possibilità di rintracciare un alimento o mangime nella fase di distribuzione
485. Il principale bersaglio della tossicità cronica delle aflatossine è:
A) il sistema cardiovascolare
B) l'apparato renale
C) il sistema immunitario
D) l'apparato uditivo
E) il fegato
486. A quale classe di farmaci viene riferito il suffisso “dipina” nella Denominazione Comune?
A) più di una indicazione è corretta
B) Ca2+-antagonisti della classe delle diidropiridine
C) antinfiammatori derivati dall’indometacina
D) antibiotici derivati dalla rifamicina
E) antistaminici H2
487. La serotonina contiene nella sua struttura il nucleo
A) benzofuranico
B) chinolinico
C) isochinolinico
D) indolico
E) benzoimidazolico
488. Il farmacista può chiedere il diritto addizionale per i prodotti diversi dai medicinali?
A) solo quando il servizio è svolto a battente chiuso
B) no, mai
C) solo durante le ore di chiusura notturna
D) solo durante le ore di chiusura diurna
E) solo nelle farmacie rurali sussidiate
489. Quali elementi è obbligatorio annotare nell’apposito registro dei veleni?
A) nome, cognome, indirizzo e telefono dell’acquirente
B) nome, cognome, indirizzo ed età dell’acquirente
C) quantità, qualità delle sostanze velenose vendute, giorno della vendita, nome, cognome, domicilio, arte o professione dell’acquirente
D) qualità e quantità delle sostanze velenose vendute, giorno della vendita, nome, cognome, indirizzo, telefono ed età dell’acquirente
E) quantità, qualità delle sostanze velenose vendute, giorno della vendita, nome del medico prescrittore, nome e indirizzo del paziente, età dell’acquirente
490. Le piante medicinali elencate possono essere tutte impiegate in preparazioni ad azione analgesicaantinfiammatoria tranne:
A) Boswellia (Boswelia serrata Roxb.)
B) Uncaria (Uncaria tomentosa L.)
C) Arpagofito (Harpagophytum procumbens DC.)
D) Belladonna (Atropa belladonna L.)
E) Salice (Salix alba L.)
491. Il saggio di uniformità di massa di un lotto di capsule si esegue sulla base:
A) del peso della capsula chiusa
B) del peso del contenuto della capsula ricavato per differenza fra il peso della capsula integra e il peso dell’involucro
C) del peso del contenuto della capsula ricavato per pesata diretta
D) del peso dell’involucro
E) tutte le indicazioni sono corrette
492. L'azione antipiretica degli antinfiammatori non steroidei è prevalentemente riconducibile a
A) una dispersione di calore per vasodilatazione cutanea
B) un’inibizione della sintesi delle prostaglandine in alcune regioni cerebrali
C) una ridotta sintesi dell'interleuchina-1beta
D) un effetto stabilizzante sulle membrane neuronali
E) un blocco dei recettori 5HT2 nell'ipotalamo
493. Lo stimolo dei recettori nicotinici ad opera della acetilcolina determina a livello postsinapsico
A) apertura dei canali del Na+
B) chiusura dei canali del Na+
C) chiusura dei canali del K+
D) chiusura dei canali del Ca2+
E) apertura dei canali del Cl-
494. Un farmaco A è più potente di B quando
A) possiede un'efficacia maggiore di B
B) ha una costante di dissociazione (Kd) dal recettore maggiore di B
C) si lega ad un maggior numero di recettori rispetto a B
D) ha un peso molecolare inferiore a B
E) ha una DE50 minore di B a parità di effetto massimo
495. La consistenza di una crema idrofila dipende principalmente
A) dalla concentrazione di agente coemulsionantegelificante
B) dal tipo di agente coemulsionantegelificante
C) da tutti i fattori indicati
D) dal tipo di tensioattivo emulsionante
E) dalla concentrazione di tensioattivo emulsionante
496. Quale dei seguenti farmaci non ha azione antimalarica?
A) doxicillina
B) atovaquone
C) proguanil
D) imipenem
E) meflochina
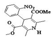
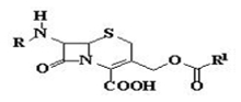
497. A quale classe farmacologica potrebbe essere attribuito un composto avente la struttura parziale indicata ed eventuali suoi analoghi?
A) antibiotici - tetracicline
B) antibatterici - chinolonici
C) antibatterici - sulfamidici
D) antibiotici - penicilline
E) antibiotici - cefalosporine
498. Quale tra le affermazioni seguenti riguardanti le sostanze polimorfe è ERRATA:
A) il polimorfismo si può individuare attraverso misure di solubilità
B) il polimorfismo si può individuare attraverso l’analisi infrarossa
C) il polimorfismo si può individuare attraverso l’analisi diffrattometrica
D) il polimorfismo si può individuare attraverso l’analisi elementare
E) il polimorfismo si può individuare attraverso il punto di fusione al microscopio
499. La tossicità del cloramfenicolo nei neonati si manifesta con:
A) insufficienza epatica
B) sindrome grigia
C) insufficienza renale
D) cardiotossicità
E) difetti dell’accrescimento
500. Quale dei seguenti principi attiii NON è un profarmaco
A) enalapril
B) tetraciclina cloridrato
C) bacampicillina
D) nabumetone
E) capecitabina
501. La fisostigmina, avente la struttura indicata, è classificabile come farmaco
A) simpaticomimetico
B) simpaticolitico
C) parasimpaticomimetico
D) parasimpaticolitico
E) nessuno di quelli indicati
502. L’acenocumarolo è un farmaco
A) alfa-bloccante
B) beta-bloccante
C) anticoagulante
D) antiasmatico
E) antinfiammatorio
503. Cos'é un farmaco tocolitico?
A) un rilassante della muscolatura uterina
B) un rilassante della muscolatura gastrointestinale
C) un farmaco che provoca la lisi di particolari batteri
D) un farmaco che provoca la lisi di particolari virus
E) nessuna delle indicazioni è corretta
504. I due farmaci A e B mostrano le curve dose-effetto in figura. Quale delle affermazioni sotto elencate è corretta? Il farmaco A rispetto al farmaco B
A) ha la stessa potenza e la stessa efficacia di B
B) ha la stessa potenza e diversa efficacia rispetto a B
C) ha la stessa efficacia e diversa potenza
D) provoca lo stesso effetto di B solo quando è a concentrazioni più elevate rispetto a B
E) nessuna delle indicazioni, è corretta
505. L’enzima citoplasmatico responsabile dell’ossidazione di dosi medio-basse di etanolo è:
A) aldeide deidrogenasi
B) acetilcolinesterasi
C) alcool deidrogenasi
D) monoammino ossidasi
E) endopeptidasi
506. La fase farmacodinamica di un farmaco corrisponde a:
A) dissoluzione e assorbimento
B) distribuzione
C) metabolizzazione
D) interazione con il sito di azione
E) eliminazione
507. Quale delle seguenti sostanze viene impiegata come antidoto in caso di sovradosaggio da metotrexato?
A) acido p-amminobenzoico
B) cotrimossazolo
C) folinato di calcio
D) lievito di birra
E) trimetoprim
508. I vaccini ricombinanti sono costituiti da:
A) antigeni proteici o polipeptidici prodotti da un microrganismo carrier (batterio o lievito) nel cui corredo genetico è stato inserito un gene che ne codifica la sintesi
B) antigeni di superficie del patogeno o da tossine inattive di elevata immunogenicità
C) un polisaccaride legato ad una proteina trasportatrice riconoscibile dai linfociti T
D) tutte le indicazioni sono corrette
E) nessuna delle indicazioni è corretta
509. Il composto avente la struttura indicata viene utilizzato come antiossidante nella preparazione delle forme farmaceutiche. Esso viene indicato come
A) butilidrossianisolo
B) acido ascorbico
C) con tutti i nomi riportati, eccetto uno
D) gallato di propile
E) propilenglicol
510. I diuretici osmotici sono distribuiti nel fluido extracellulare; a ciò consegue estrazione di acqua dai compartimenti intracellulari e aumento di volume del liquido extracellulare. Per questi motivi tale classe di farmaci può provocare
A) aumento degli edemi degli arti inferiori
B) edema polmonare acuto in presenza di scompenso cardiaco e congestione polmonare
C) aumento della pressione intracranica
D) aumento della pressione intraoculare
E) riduzione della tolleranza ai carboidrati