F1
TastoEffeUno.it
La "Guida in linea" sul Web!
GUIDE
TUTORIALS
CORSI
TEMPLATE
VIDEO
QUIZ
GIOCHI DIDATTICI
Quiz CONCORSO PER L'ASSEGNAZIONE DI SEDI FARMACEUTICHE 2025
Suddivisione database ministeriale
GRUPPI DI QUESITI 631-660
631. La ticlopidina agisce come antiaggregante piastrinico:
A) bloccando la cicloossigenasi piastrinica
B) bloccando la lipossigenasi piastrinica
C) attivando la cicloossigenasi piastrinica
D) bloccando la via dell'adenosina difosfato piastrinica
E) attivando la via dell'adenosina difosfato piastrinica
632. I composti sotto elencati hanno la DL50 (mg/Kg) indicata. Quale composto presenta la tossicità minore?
A) tetrodotossina = 0,1
B) picrotossina = 5
C) stricnina solfato = 2
D) d-tubocurarina = 0,5
E) nicotina = 1
633. La interazione di un farmaco con il suo recettore forma un complesso farmaco-recettore. Tale interazione è all’equilibrio quando si è
A) eguagliata la velocità delle reazioni di associazione e dissociazione
B) annullata la concentrazione del farmaco
C) annullata la velocità della reazione nei due sensi
D) annullata la concentrazione del recettore libero
E) eguagliata la concentrazione del farmaco e quella del suo complesso con il recettore
634. A quali macromolecole circolanti si legano prevalentemente i farmaci:
A) alfa-glicoproteine acide
B) albumina
C) gamma-globuline
D) lipoproteine
E) beta-globuline
635. l farmacista è tenuto ad inviare una delle copie della richiesta di approvvigionamento di stupefacenti della Tabella dei medicinali Sez. A B e C presentata da medici o direttori sanitari di ospedali o case di cura sprovvisti di farmacia interna
A) all’Autorità di pubblica sicurezza
B) al Ministero della Salute
C) all'AIFA
D) il farmacista non ha alcun obbligo al riguardo
E) alla A.S.L. di appartenenza
636. Il linezolid esercita azione:
A) ipolipidemizzante
B) antibatterica
C) diuretica
D) antiaritmica
E) antiipertensiva
637. Se la biotrasformazione di un farmaco viene inibita, quale dei parametri farmacocinetici elencati viene prevalentemente modificato:
A) volume apparente di distribuzione
B) emivita di distribuzione
C) velocità di assorbimento
D) emivita di eliminazione
E) le costanti di velocità di distribuzione
638. Quale dei seguenti farmaci è agonista diretto dei recettori muscarinici?
A) pilocarpina
B) succinilcolina
C) atropina
D) scopolamina
E) ipratropio bromuro
639. Molti barbiturici si differenziano per la natura dei gruppi sostituenti sul carbonio 5. Da cosa NON possono essere costituiti i due sostituenti R1 ed R2 del carbonio 5?
A) etile
B) idrogeno
C) fenile
D) cicloesene
E) alchile ramificato
640. Quale farmaco, tra quelli riportati, è più indicato nella terapia della sindrome ossessivo-compulsiva? Un
A) inibitore della captazione neuronale della serotonina
B) barbiturico
C) antiepilettico
D) neurolettico fenotiazinico
E) inibitore dell'acetilcolinesterasi
641. Non sono erogabili a carico del SSN i prodotti dietetici destinati a soggetti affetti da:
A) rettocolite ulcerosa
B) celiachia
C) fibrosi cistica
D) fenilchetonuria
E) galattosemia
642. Il termine “mesilato” si riferisce ad un controione di basi poco solubili; tale termine è sinonimo di
A) dodecilsolfato
B) metansolfonato
C) benzensolfonato
D) toluensolfonato
E) metilsolfato
643. Il rapporto tra servizio sanitario nazionale e le farmacie pubbliche e private è disciplinato da accordi a livello
A) regionale ed aventi durata triennale
B) provinciale ed aventi durata biennale
C) nazionale ed aventi durata biennale
D) regionale ed aventi durata biennale
E) nazionale ed aventi durata triennale
644. Da quale precursore deriva il GABA avente la struttura indicata
A) colina
B) triptofano
C) acido glutammico
D) istidina
E) serina
645. Il pancuronio bromuro, avente la struttura indicata, è un bloccante neuromuscolare in quanto
A) blocca in modo competitivo il recettore nicotinico
B) blocca in modo depolarizzante il recettore nicotinico
C) stimola il recettore muscarinico
D) blocca i canali del K+
E) inibisce l’acetilcolinesterasi
646. Gli enzimi di fase I responsabili della biotrasformazione di un farmaco catalizzano reazioni di:
A) ossidoriduzione o idrolisi
B) coniugazione con acido glucuronico
C) fosforilazione
D) coniugazione con il tripeptide glutatione
E) alchilazione
647. Quale particolare “modello” di registro deve essere adottato dal farmacista per i movimenti di entrata e uscita degli stupefacenti della tabella dei medicinali sezione A, B e C?
A) nessuno
B) quello stabilito dall’Autorità Regionale
C) quello stabilito dal Ministero della Salute
D) quello stabilito dall’Ordine dei Farmacisti
E) quello scelto dall’Istituto Poligrafico e Zecca dello Stato
648. I farmaci orfani sono:
A) farmaci utilizzati per le malattie rare
B) farmaci il cui brevetto è scaduto
C) farmaci di cui non si conosce il meccanismo d’azione
D) farmaci privi dell’Autorizzazione all’Immissione in Commercio (AIC)
E) farmaci la cui somministrazione nelle donne richiede particolari precauzioni
649. Quale dei seguenti effetti costituisce l’azione terapeutica più importante dei farmaci antagonisti istaminici H2?
A) regolazione del sistema cardiovascolare
B) potenziamento delle risposte immunitarie
C) riduzione della secrezione gastrica
D) azione antinausea e antiemetica
E) anestetica locale
650. Quale tra i seguent farmaci si usa come anti-asmatico e agisce antagonizzando i recettori leucotrienici?
A) sabutamolo
B) ipratropio bromuro
C) flunisolide
D) montelukast
E) omalizumab
651. E’ consentito al farmacista esporre in farmacia avvisi relativi a studi privati di medici, odontoiatri o di altri sanitari?
A) sì, sempre
B) no, mai
C) sì, previa autorizzazione dell’Autorità Sanitaria Locale
D) sì, ma solo medici od odontoiatri
E) sì, previa nulla osta dell’Ordine
652. La cocaina interferisce sulla trasmissione noradrenergica in quanto
A) stimola direttamente i recettori alfa adrenergici
B) stimola direttamente i recettori beta adrenergici
C) inibisce il catabolismo della noradrenalina
D) inibisce il reuptake neuronale della noradrenalina
E) libera noradrenalina dai terminali sinaptici
653. La fenitoina sale di sodio è il composto rappresentato dalla struttura indicata. La sua attività farmacologica è
A) antiepilettica
B) più di una risposta è giusta
C) antiaritmica
D) ipnotica
E) antiasmatica
654. Le autorizzazioni alla pubblicità dei dispositivi medici hanno validità di:
A) 24 mesi
B) 12 mesi
C) 24 mesi, fatta salva la possibilità del Ministero della Salute di stabilire un periodo di validità più breve, in relazione delle caratteristiche del messaggio divulgato
D) 5 anni
E) illimitata
655. Quale, tra gli enzimi seguenti, NON partecipa alla formazione dei neurotrasmettitori adrenergici nell’organismo?
A) istidin decarbossilasi
B) tirosina idrossilasi
C) dopamina beta-idrossilasi
D) DOPA decarbossilasi
E) feniletanolammina Nmetiltransferasi
656. Quale dei seguenti è un ormone prodotto dalla neuroipofisi?
A) Vasopressina
B) Prolattina
C) Ormone della crescita
D) Ormone tireostimolante
E) nessuno di quelli indicati
657. La d-tubocurarina compete con l’acetilcolina per il sottotipo N2 di recettore nicotinico della placca neuromuscolare determinando:
A) depolarizzazione della placca per entrata di Na+
B) stabilizzazione della placca neuromuscolare con blocco del canale del Na+
C) iperpolarizzazione della placca per uscita di K+
D) iperpolarizzazione della placca per entrata di Cl-
E) depolarizzazione della placca per entrata di Ca2+
658. L'Autorizzazione all’Immissione in Commercio (AIC) di un medicinale nella procedura centralizzata è rilasciata da:
A) Agenzia Nazionale per i Servizi Sanitari (AGENAS)
B) Agenzia Italiana del Farmaco (AIFA)
C) Ministero della Salute
D) Agenzia Europea per i Medicinali (EMA)
E) Istituto Superiore di Sanità (ISS)
659. Il tipo di reazione a farmaci provocata dalla penicillina è:
A) una sindrome autoimmune
B) una reazione cellulomediata
C) una allergia a farmaci di tipo II
D) mediata da IgE
E) malattia da siero
660. Quali medicinali iniettabili possono essere consegnati dal farmacista senza presentazione di ricetta medica,, in quantità superiore ad una sola confezione, per la necessità di non interrompere il trattamento terapeutico, se ricorrono le condizioni pr
A) tutti gli antibiotici monodose
B) solo l’insulina
C) tutti gli antibiotici
D) i farmaci per patologie cardiovascolari
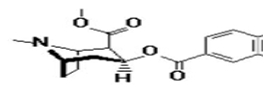
E) gli antidolorifici