F1
TastoEffeUno.it
La "Guida in linea" sul Web!
GUIDE
TUTORIALS
CORSI
TEMPLATE
VIDEO
QUIZ
GIOCHI DIDATTICI
Quiz CONCORSO PER L'ASSEGNAZIONE DI SEDI FARMACEUTICHE 2025
Suddivisione database ministeriale
GRUPPI DI QUESITI 661-690
661. Quale tra le seguenti competenze NON rientra tra quelle riservate alla professione del farmacista?
A) la dispensazione dei medicinali
B) l’informazione sui medicinali
C) la prescrizione dei medicinali
D) la preparazione dei medicinali
E) il consiglio sui medicinali
662. Come deve compiersi la chiusura giornaliera del registro entrata e uscita stupefacenti?
A) la chiusura non è giornaliera, ma è mensile
B) annullando tutti gli spazi vuoti
C) annotando i dati riassuntivi di entrate, uscite e giacenze
D) annotando le sole giacenze
E) la chiusura non è giornaliera, ma annuale
663. Il polimorfismo è un fenomeno per cui una sostanza
A) può presentare denominazioni comuni italiane diverse
B) può generare cristalli molto simili a quelli di un’altra sostanza
C) può formare soluzioni solide con cristalli di altre sostanze
D) presenta, quando si trova in miscela con un’altra sostanza qualsiasi un punto eutettico
E) può presentarsi in due o più forme cristalline
664. La paralisi flaccida causata dalla tossina botulinica è dovuta a:
A) inibizione dell’enzima acetilcolinesterasi a livello della placca neuromuscolare
B) blocco della liberazione di Ach dalle terminazioni nervose colinergiche
C) blocco della sintesi di acetilcolina a livello del motoneurone presinaptico
D) blocco della trasmissione a livello dei terminali inibitori nel midollo spinale
E) interazione con i recettori nicotinici a livello della placca neuromuscolare
665. Quale delle sostanze sotto indicate ha una attività antimicrobica dovuta alla sua azione tensioattiva
A) acqua ossigenata
B) neomicina
C) permanganato di potassio
D) polimixina
E) cetilpiridinio cloruro
666. Indicare per quale, tra i seguenti sistemi enzimatici, è più noto il fenomeno del polimorfismo genetico:
A) Citocromo P450 ossidoreduttasi (CYP450)
B) Acetil coenzima A
C) Idrossilasi
D) Tirosinchinasi
E) nessuna delle risposte è corretta
667. I farmaci anti-diabetici appartneneti alla categoria delle Gliflozine sono stati associati con aumentato rischio di:
A) ischemia cardiaca
B) broncospasmo
C) ulcera peptica
D) infezioni genito-urinarie
E) sindromi depressive
668. Gli antibiotici polienici (quali nistatina ed amfotericina) aventi struttura del tipo di quella indicata agiscono
A) legandosi agli steroli della membrana e alterando le funzioni della stessa
B) bloccando la sintesi degli steroli di membrana
C) formando canali spuri che alterano l’omeostasi degli ioni
D) disaccoppiando recettori di membrana ed effettori
E) alterando il trasporto del glucosio attraverso la membrana
669. La dematerializzazione della prescrizione veterinaria riguarda i medicinali contenenti sostanze stupefacenti e psicotrope inclusi:
A) nelle sezioni B, C, D ed E della Tabella dei Medicinali
B) nelle sezioni A, B, C, D ed E della Tabella dei Medicinali
C) nella sezione A della Tabella dei Medicinali
D) nelle sezioni B ed E della Tabella dei Medicinali
E) nelle sezioni B, C e D della Tabella dei Medicinali
670. Quale antidoto è più indicato nell'avvelenamento da muscarina?
A) flumazenil
B) naloxone
C) pilocarpina
D) atropina
E) d-Tubocurarina
671. Un antagonismo farmacologico recettoriale non competitivo è caratterizzato da:
A) aumento dell’effetto massimo dell’agonista
B) aumento dell’affinità dell’agonista per il recettore
C) diminuzione dell’effetto massimo dell’agonista
D) nessuna variazione dell’effetto massimo dell’agonista
E) reversibilità dell’antagonismo con l’aumento della dose di agonista
672. Quale delle affermazioni seguenti riguardanti la mesalazina, avente la struttura indicata, è ERRATA?
A) viene utilizzata, per via sistemica, nella terapia antitubercolare
B) sono in commercio specialità medicinali che contengono il corrispondente profarmaco
C) e’ un isomero dell'acido paraaminosalicilico (PAS)
D) viene utilizzata nel trattamento delle malattie infiammatorie intestinali
E) e’ un derivato dell’acido salicilico
673. I barbiturici agiscono:
A) prolungando il tempo di apertura del canale ionoforo per lo ione Cl-
B) bloccando i canali del Na+ voltaggio dipendenti
C) bloccando i canali del Ca2+ di tipo T
D) antagonizzando il GABA sul suo recettore GABA-A
E) antagonizzando il GABA sul suo recettore GABA-B
674. Contro l’emofilia si usa:
A) warfarina
B) irudina
C) fattore VII
D) cumarine
E) Acido acetilsalicilico
675. Gli effetti cardiaci diretti della dobutamina, avente la struttura indicata, potrebbero essere bloccati da:
A) prazosina
B) metoprololo
C) clonidina
D) isoproterenolo
E) yoimbina
676. In riferimento alla monografia generale della Farmacopea Sostanze per uso farmaceutico (2034) quale indicazione risulta corretta
A) estende il campo di applicazione anche alle sostanze per uso alimentare
B) descrive i requisiti di qualità delle sostanze per uso farmaceutico
C) descrive i metodi di farmacovigilanza galenica
D) definisce anche le sostanze per uso farmaceutico-alimentare
E) nessuna indicazione è corretta
677. Il glucosio viene assorbito per:
A) diffusione acquosa
B) diffusione lipoidea
C) trasporto attivo
D) flusso di massa
E) diffusione facilitata
678. Le “co-beta-lattamine” sono
A) copolimeri degli antibiotici beta-lattamici
B) cofattori essenziali per la vita cellulare
C) associazioni di antibiotici beta-lattamici
D) derivati dell’acido lattico
E) tautomeri dei lattimi
679. Di quante pagine deve essere composto il registro entrata e uscita stupefacenti delle farmacie?
A) 350
B) 100
C) del numero di pagine adeguato alle movimentazioni della farmacia
D) 180
E) 160
680. Quale dei farmaci elencati può provocare allucinazioni
A) le fenotiazine
B) l’acido acetilsalicilico
C) la meperidina
D) la indometacina
E) la metformina
681. La tossicità cronica di fenacetina (I), paracetamolo (II) ed acetanilide (III) è dovuta alla
A) deaminazione del gruppo NH2 liberatosi per idrolisi metabolica
B) alchilazione del gruppo OH presente o di origine metabolica
C) formazione di una chinonimmina per metabolismo ossidativo
D) formazione di epossidi
E) formazione di radicali liberi
682. Bevacizumab è utilizzato come:
A) anticoagulante
B) antivirale
C) antitumorale
D) antiipertensivo
E) antiulcera
683. La pravastatina sale di sodio è:
A) un antidiabetico orale
B) una penicillina di terza generazione
C) un inibitore dell’amilasi
D) un inibitore della sintesi endogena del colesterolo
E) un inibitore della sintesi endogena degli acidi grassi
684. A quale classe di farmaci viene riferito il suffisso “ololo” nella Denominazione Comune?
A) beta-bloccanti adrenergici
B) Antiepilettici di tipo idantoinico
C) Ansiolitici di tipo benzodiazepinico
D) Ormoni estrogeni
E) Antistaminici H2
685. I messaggeri chimici si formano da sostanze che vengono immesse nell’organismo con la dieta. Da quale aminoacido precursore derivano importanti neurotrasmettitori tra i quali la noradrenalina?
A) istidina
B) acido glutammico
C) tirosina
D) colina
E) triptofano
686. La farmacia può prestare servizio in orari e periodi aggiuntivi rispetto a quelli obbligatori?
A) solo previa autorizzazione del Prefetto
B) sì, purché ne dia preventiva comunicazione all'autorità sanitaria competente e all’Ordine provinciale dei farmacisti e ne informi la clientela mediante cartelli affissi all'esterno dell'esercizio
C) solo in località turistiche
D) solo durante i mesi estivi
E) mai
687. In riferimento a un batterio ricombinante quale indicazione risulta corretta
A) non è stato geneticamente modificato
B) nessuna indicazione è corretta
C) non ha inserito un gene di interesse
D) esprime il prodotto dal gene inserito
E) tutte le indicazioni sono corrette
688. I medicinali contenenti stupefacenti e spedibili con RR sono soggetti al
A) DPR 309/90 Tab. Medicinali Sez. A
B) DPR 309/90 Tab.Medicinali Sez. C
C) DPR 309/90 Tab.Medicinali Sez. D
D) DPR 309/90 Tab.Medicinali Sez. E
E) a nessuno dei riferimenti citati
689. L'amiloride si differenzia dagli altri diuretici K+risparmiatori per il suo meccanismo d'azione che consiste nell'inibire
A) l'anidrasi carbonica
B) il cotrasporto Na+, K+, 2Cl-
C) il cotrasporto Na+, Cl-
D) i canali del Na+ nella membrana apicale del tubulo collettore
E) i meccanismi di concentrazione controcorrente dell'urina
690. I cosmetici possono garantire la protezione totale dai raggi UV?
A) no, mai
B) solo quelli che riportano l'indicazione "Sun block" in etichetta
C) solo quelli che riportano l'indicazione "Protezione Totale" in etichetta
D) solo se contengono gli ingredienti riportati nell'Allegato VI del Regolamento Europeo 1223/2009
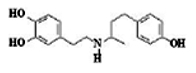
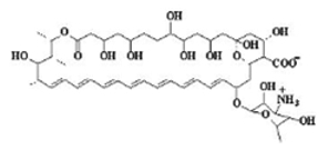
E) più di una indicazione è corretta