F1
TastoEffeUno.it
La "Guida in linea" sul Web!
GUIDE
TUTORIALS
CORSI
TEMPLATE
VIDEO
QUIZ
GIOCHI DIDATTICI
Quiz CONCORSO PER L'ASSEGNAZIONE DI SEDI FARMACEUTICHE 2025
Suddivisione database ministeriale
GRUPPI DI QUESITI 691-720
691. Il rischio di emorragia in pazienti trattati con eparina è aumentato dall'aspirina perché essa:
A) inibisce la funzione piastrinica
B) ne antagonizza l’effetto
C) nessuna delle indicazioni è corretta
D) favorisce la sintesi delle prostaglandine
E) favorisce la formazione di trombi
692. Semaglutide è un anti-diabetico che agisce:
A) come analogo dell'incretina GLP-1
B) come analogo dell'incretina GIP
C) bloccando il canale del potassio KATP
D) inibendo l'alfa glucosidasi
E) inibendo il cotrasportatore sodioglucosio di tipo 2
693. L’Imatinib è un farmaco usato nella terapia:
A) del dolore cronico
B) delle artrosi
C) della leucemia mieloide cronica
D) dei tumori al seno
E) per nessuna di queste patologie
694. La Farmacopea Italiana e l’art. 14 del D.P.R. 309/90 riportano alcune Tabelle correlate agli adempimenti professionali del farmacista. Quale delle seguenti affermazioni è esatta
A) sia la Tabella del DPR 309/90 che quelle della Farmacopea Ufficiale sono individuate da numeri romani
B) le Tabelle del D.P.R. n. 309/1990 sono contraddistinte da numeri romani e Sezioni in lettere dell'alfabeto
C) le Tabelle della Farmacopea Ufficiale sono sei
D) il DPR n. 309/1990 contiene gli Allegati I II e III bis
E) sia le Tabelle della Farmacopea Ufficiale che quelle del DPR 309/90 sono sette
695. Il fenobarbitale interferisce con molti farmaci. In particolare diminuisce i livelli plasmatici di:
A) carbamazepina
B) sodio valproato
C) warfarina
D) fenitoina
E) tutti quelli indicati
696. Quante sono le tabelle della Farmacopea Ufficiale?
A) quattro
B) cinque
C) sei
D) sette
E) otto
697. Un farmacista che abbia ceduto le proprie quote di una società per la gestione di una farmacia privata può partecipare ad un concorso per l’assegnazione di sedi farmaceutiche:
A) non prima di dieci anni
B) non prima di cinque anni se aveva una quota minoritaria e non prima di dieci anni se aveva una quota maggioritaria
C) immediatamente
D) decorsi tre anni dalla vendita
E) decorsi sei mesi dalla vendita
698. Quala fra questi è un farmaco anti-tiroideo:
A) Clotrimazolo
B) Fluconazolo
C) Metimazolo
D) Anastrozolo
E) Ketoconazolo
699. L’associazione di nitrati organici e farmaci betaantagonisti è utile nell’angina pectoris in quanto i
A) beta-antagonisti diminuiscono il tempo di perfusione coronarica
B) nitrati correggono la bradicardia da betablocco
C) beta-antagonisti diminuiscono il ritorno venoso
D) beta-antagonisti correggono la tachicardia riflessa provocata dai nitrati
E) nitrati correggono l’inotropismo negativo da beta-blocco
700. I derivati della 8-idrossichinolina quali quello riportato in figura appartengono alla classe dei farmaci
A) antidiabetici
B) antitumorali
C) antimicrobici
D) radioopacizzanti
E) anestetici generali
701. In caso di shock anafilattico quale dei seguenti è un farmaco salvavita?
A) Propanololo
B) Prednisone
C) Adrenalina
D) Teofillina
E) Nedocromile
702. Latanoprost viene utilizzato nella terapia di:
A) Glaucoma
B) Ipertrofia prostatica benigna
C) Disfunzione erettile
D) Asma allergico
E) Prostatite batterica
703. Il farmacista è tenuto ad indicare la data entro la quale deve essere impiegato il preparato magistrale allestito in farmacia?
A) no, solo su indicazione del medico
B) sì, sempre
C) no, mai
D) sì, ma solo qualora si tratti di sostanze velenose
E) sì, ma solo se si tratta di sostanze ad azione stupefacente
704. Quale dei prodotti sotto elencati Può essere impiegato come agente correttore di acidità nella preparazione delle forme farmaceutiche liquide che devono presentare valori di pH analoghi a quelli dei liquidi biologici
A) citrato di sodio
B) dietilftalato
C) acetato di sodio
D) fosfato monobasico di potassio
E) tutti quelli indicati, tranne uno
705. La Mesalazina (o Acido 5-Amino salicilico o 5-ASA) è un farmaco usato nella terapia:
A) Delle malattie infiammatorie intestinali
B) Dell’acne vulgaris
C) Delle infezioni urinarie
D) Dell’insufficienza cardiaca
E) Del Morbo di Parkinson
706. Una siringa preriempita con soluzione di NaCl 0,9% destinata dal fabbricante al lavaggio di dispositivi medici come ad esempio i cateteri è:
A) un farmaco di cui la siringa costituisce il contenitore primario
B) un dispositivo medico
C) un dispositivo medico combinato con farmaco
D) una confezione contenente un farmaco ed un dispositivo
E) un presidio medicochirurgico
707. Quale de seguenti anti-virali viene usato nel trattamento dell’Herpes labialis:
A) Tenofovir
B) Sofosbuvir
C) Remdesivir
D) Oseltamivir
E) Penciclovir
708. Il Destrometorfano è:
A) un anti-tumorale antimetabolita
B) un sedativo della tosse
C) un decongestionante nasale
D) un antistaminico
E) un anti-infiammatorio
709. Le strutture indicate rappresentano composti utilizzabili come additivi in tecnica farmaceutica. Quale degli accoppiamenti (struttura - caratteristiche) sotto riportati è corretto
A) (I) - anfolitica
B) (II) - cationica
C) (III) - non ionica
D) (II) - anionica
E) (III) - anionica
710. Il metadone, un farmaco largamente utilizzato nella terapia di recupero dei tossicodipendenti, ha la struttura indicata. A quale, dei composti sotto indicati, il metadone risulta più simile dal punto di vista strutturale?
A) morfina
B) pirazoloni
C) 4,4-difenileptan-3-one
D) desossiefedrina
E) chinoloni
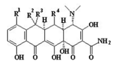
711. Le tetracicline NON sono consigliabili ai soggetti:
A) cardiopatici
B) asmatici
C) ipertesi
D) in gravidanza
E) affetti da AIDS
712. Per quale motivo il rivestimento delle compresse costituito dal prodotto avente la struttura riportata e che prende il nome di Eudragit L100 si solubilizza facilmente a livello intestinale? In quanto l’eccipiente
A) ha più di una delle caratteristiche indicate
B) ha carattere anfolitico
C) ha carattere cationico
D) in ambiente acido subisce la saponificazione della funzione esterea
E) ha carattere acido
713. L’etinilestradiolo differisce dall'estradiolo per:
A) la chiralità al carbonio 17
B) la presenza in posizione 17 di un etinile
C) la stereochimica della giunzione tra gli anelli C e D
D) tutti i motivi menzionati
E) l’aromaticita’ dell’anello A
714. Ai sensi del Regolamento (CE) n. 1223/2009 e del DM Salute del 27 settembre 2018 chiunque intenda produrre o confezionare in proprio prodotti cosmetici:
A) deve darne comunicazione scritta entro 30 dall'inizio dell'attività alla ASL competente per territorio, al Ministero della Salute e alla Regione competente
B) nessuna indicazione è corretta
C) deve darne comunicazione scritta 30 giorni prima dell'inizio dell'attività alla ASL competente per territorio
D) deve darne comunicazione scritta almeno 30 giorni prima dell'inizio dell'attività al Ministero della Salute e all'Istituto Superiore di Sanità
E) deve darne comunicazione scritta almeno 30 giorni prima dell'inizio dell'attività alla Regione e all'Istituto Superiore di Sanità
715. Quale tra i farmaci elencati può indurre vomito?
A) cisplatino
B) levodopa
C) apomorfina
D) bromocriptina
E) tutte le indicazioni sono corrette
716. Qual è lo steroide la cui sintesi viene inibita da molti farmaci antifungini?
A) Colesterolo
B) Stigmasterolo
C) Ergosterolo
D) Cortisolo
E) Sitosterolo
717. Il farmacista è tenuto ad annotare sull’etichetta di preparazioni galeniche allestite in farmacia, se l'impiego del medicinale è per “uso esterno”?
A) non è obbligatorio
B) si, sempre
C) si, ma soltanto ove possano sorgere dubbi sull’uso del medicinale
D) si, ma solo per i medicinali del formulario nazionale
E) no, ma è comunque tenuto ad informarne il cliente
718. Il principio attivo aripiprazolo può essere classificato come:
A) antipsicotico tipico
B) antipsicotico atipico
C) antistaminico H1
D) antagonista adrenergico beta1
E) tutte le indicazioni sono errate
719. Finasteride è:
A) Un inibitore della 5-alfa reduttasi usato nella terapia dell’ipertrofia prostatica benigna
B) Un alfa-bloccante usato nella terapia dell’ipertrofia prostatica benigna
C) Un inibitore della 5fosfodiesterasi usato nella disfunzione erettile
D) Un inibitore del cotrasportatore SGLT-2 usato nella terapia del diabete di tipo II
E) Un procinetico gastrico usato nella gastroparesi
720. La F.U. definisce un contenitore ermeticamente chiuso quando:
A) è chiuso per fusione del materiale che lo costituisce
B) è impermeabile a solidi, liquidi e gas in condizioni normali di manipolazione, conservazione e trasporto
C) e' chiuso con un dispositivo che rivela in modo irreversibile se il recipiente e' stato aperto
D) contiene una quantità di preparazione destinata ad essere usata tutta in una sola volta
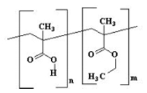
E) tutte le indicazioni sono corrette