F1
TastoEffeUno.it
La "Guida in linea" sul Web!
GUIDE
TUTORIALS
CORSI
TEMPLATE
VIDEO
QUIZ
GIOCHI DIDATTICI
Quiz CONCORSO PER L'ASSEGNAZIONE DI SEDI FARMACEUTICHE 2025
Suddivisione database ministeriale
GRUPPI DI QUESITI 811-840
811. Delle tre strutture generali indicate, quale può essere utilizzata come antistaminico H1?
A) la CETIRIZINA (I)
B) la DIFENIDRAMINA (II)
C) la CLORFENIRAMINA (III)
D) nessuna
E) tutte
812. Due farmaci che possono essere considerati “isosteri classici” sono quelli in cui un atomo della molecola del primo è stato sostituito nel secondo con un atomo
A) a peso atomico più alto
B) a peso atomico più basso
C) di ingombro sterico comparabile
D) appartenente allo stesso gruppo del Sistema periodico
E) appartenente allo stesso periodo del Sistema periodico
813. Le azioni degli agonisti dei recettori colinergici comprendono:
A) broncodilatazione
B) contrazione del muscolo ciliare e migliorato drenaggio dell’umore acqueo nel glaucoma
C) ridotta motilità gastrointestinale
D) ridotta trasmissione neuromuscolare e ritardato recupero da un blocco neuromuscolare
E) tutte le indicazioni sono corrette
814. I sulfamidici agiscono
A) per inibizione della diidropteroato sintetasi
B) per blocco della formazione del complesso di avvio 30 S
C) per inibizione della sintesi degli acidi nucleici
D) per inibizione della funzione della membrana cellulare
E) per inibizione della sintesi proteica a livello della subunità 50 S del ribosoma batterico
815. La “pillola dei 5 giorni dopo” è a base di:
A) Mifepristone
B) Levonorgestrel
C) Ulipristal acetato
D) Etinilestradiolo
E) Gestodene
816. Oltre agli ACE-inibitori, quale altra classe di farmaci anti-ipertensivi agisce sul sistema renina-angiotensinaaldosterone (RAAS)?
A) Sartani
B) Ca2+-antagonisti
C) Beta-bloccanti
D) Diuretici tiazidici
E) Tutte le risposte sono giuste
817. I valori in mg/100 ml del glucosio nel sangue variano al variare dei soggetti e dell’età. Quale, tra gli intervalli sotto indicati, si avvicina maggiormente al valore medio degli adulti sani se il prelievo è stato eseguito su un soggetto digiuno da a
A) 70-110
B) 50-80
C) 90-120
D) 180-210
E) 110-130
818. Le ispezioni ordinarie biennali nelle farmacie sono effettuate da
A) nuclei Antisofisticazioni dei Carabinieri (N.A.S.)
B) nuclei Antidroga dei Carabinieri (NAD)
C) assessorato regionale alla Sanità
D) polizia municipale
E) commissione di vigilanza della A.S.L.
819. La nefelometria misura la luce:
A) dispersa
B) assorbita
C) riflessa
D) rifratta
E) polarizzata
820. Quale dei seguenti principi attivi NON appartiene alla classe delle sulfoniluree ipoglicemizzanti?
A) glibenclamide (struttura indicata)
B) gliquidone
C) gliclazide
D) glipizide
E) tutti quelli indicati sono sulfoniluree ipoglicemizzanti
821. Il metilfenidato è impiegato nel trattamento della:
A) depressione
B) sindrome ipercinetica dei bambini
C) distimia bipolare
D) schizofrenia
E) demenza senile
822. L’acido acetilsalicilico, interagendo con l’albumina plasmatica, acila il gruppo -NH2 di alcuni residui di lisina e quindi sfavorisce il legame di altri farmaci alle proteine plasmatiche. Esistono medicinali in forma iniettabile che contengono acetil
A) la lisina presente nella soluzione iniettabile è già completamente acilata
B) nella soluzione iniettabile sono presenti soltanto acido salicilico e acetillisina
C) la disponibilità elettronica del gruppo -NH2 della lisina è diversa nei due casi
D) solo la reazione di tipo enzimatico con la lisina può provocare la transacetilazione
E) la transacetilazione nelle fiale non avviene perché la concentrazione è troppo elevata
823. Indicare quale delle affermazioni seguenti è corretta riguardo ai principi attivi enalapril (I) e lisinopril (II)?
A) sono due principi attivi della stessa classe uno dei quali si comporta da profarmaco
B) uno di essi si trova in commercio sotto forma di fiale
C) si usano entrambi in terapia anticolesterolemica
D) il secondo si utilizza per la terapia diuretica nei casi in cui si ha carenza di K+
E) soltanto il primo si utilizza nella terapia antipertensiva
824. Qual è la percentuale consigliata di idrossietilcellulosa per ottenere un gel acquoso, non versabile, cioè fermo?
A) 0,5-1%
B) 1-2,5%
C) 2,5–5%
D) 10-20%
E) oltre 20%
825. Quale tra i seguenti farmaci non viene utilizzato nella terapia delle infezioni urinarie:
A) Ciprofloxacina
B) Fosfomicina
C) Nitrofurantoina
D) Levofloxacina
E) Famotidina
826. Quale delle correlazioni indicate e riguardanti le strutture 1 e 2 è corretta?
A) struttura 1 - Antinfiammatorio
B) struttura 2 - Antinfiammatorio
C) struttura 1 - Antipiretico
D) struttura 1 e 2 - Antinfiammatorio
E) tutte le indicazioni sono corrette
827. La somministrazione di farmaci retinoidi e vitamina A può causare:
A) reazioni allergiche
B) effetto additivo
C) eczema
D) nausea
E) cefalea
828. Tra le sostanze riportate quale è corretto definire legante?
A) derivati della cellulosa
B) gomma adragante
C) tutte le sostanze indicate
D) amido
E) sodio alginato
829. La neostigmina antagonizza la paralisi muscolare provocata da tutti i farmaci elencati ad eccezione di quella data da:
A) Atracurio
B) Vecuronio
C) d-Tubocurarina
D) Pancuronio
E) Suxametonio
830. Con quale delle tecniche seguenti si può realizzare un medicinale a “rilascio prolungato” ? Aggiungendo al principio attivo una sostanza che
A) lo renda più solubile nei grassi
B) lo renda meno solubile in acqua
C) inibisca il recettore sul quale il farmaco agisce
D) ne faciliti l’escrezione renale
E) più di una delle definizioni riportate è corretta
831. Orlistat è un farmaco usato nella terapia:
A) Dell’Ipercolesterolemia
B) Dell’asma allergico
C) Dell’obesità
D) Del diabete di tipo II
E) Della gotta
832. Quale dei seguenti farmaci ha azione antiemetica:
A) clozapina
B) risperidone
C) bromocriptina
D) metoclopramide
E) apomorfina
833. Quale tra le proprietà sotto riportate è sicuramente identica per le sostanze polimorfe
A) solubilità
B) densità
C) punto di fusione
D) punto di ebollizione
E) diagrammi di diffrazione ai raggi X
834. La stimolazione di quale dei seguenti recettori a livello del sistema nervoso centrale porta ad una riduzione della pressione arteriosa media?
A) alfa1 adrenergico
B) beta1 adrenergico
C) alfa2 adrenergico
D) beta2 adrenergico
E) Colinergico muscarinico
835. La vendita da parte di un erborista, in erboristeria, di preparazioni e/o prodotti contenenti piante o loro parti, anche in miscela, con etichette che attribuiscono agli stessi effetti terapeutici:
A) è consentita
B) è consentita a condizione che l’erborista sia un farmacista
C) non è consentita
D) è consentita a condizione che l’erborista abbia una specifica autorizzazione dalla Regione
E) è consentita solo su prescrizione medica
836. La specialità medicinale “A” contiene magaldrato. Essa si differenzia dalla specialità medicinale “B”, contenente algeldrato, in quanto
A) non contiene alluminio
B) non contiene magnesio
C) differisce per l’anione del sale
D) oltre all’alluminio, contiene anche magnesio
E) non ha proprietà catartiche
837. La levodopa presenta attività antiparkinson in quanto:
A) agisce come colinergico
B) blocca l’enzima tirosin decarbossilasi
C) nessuna delle indicazioni date è corretta
D) passa la barriera ematoencefalica dopo essere stata decarbossilata
E) inibisce le MAO
838. Goserelin è un analogo del GnRH ( GonadotropinReleasing Hormon ) provvisto di attività :
A) del tutto simile al precursore naturale
B) simile al precursore naturale, ma dotato di migliore biodisponibilità sistemica
C) 100 volte superiore al precursore naturale
D) 10 volte superiore al precursore naturale
E) 5 volte superiore al precursore naturale
839. In alcuni anestetici generali per inalazione sono presenti caratteristiche chimiche e/o chimico-fisiche che li accomunano. Quale, tra quelle sotto elencate, può rappresentare più verosimilmente una di queste caratteristiche comuni
A) analogia strutturale
B) pronunciata dissociazione ionica
C) assenza di atomi di alogeni
D) basso coefficiente di ripartizione olio-acqua
E) presenza di più atomi di alogeni
840. Lo spironolattone è:
A) un antagonista competitivo del recettore citoplasmatico dell’aldosterone
B) un inibitore della sintesi dell’aldosterone
C) un antagonista competitivo del recettore di membrana dell’aldosterone
D) un agonista del recettore di membrana dell’aldosterone
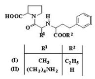
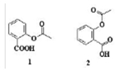
E) un bloccante diretto dei canali del Na+ della membrana luminale del nefrone