F1
TastoEffeUno.it
La "Guida in linea" sul Web!
GUIDE
TUTORIALS
CORSI
TEMPLATE
VIDEO
QUIZ
GIOCHI DIDATTICI
Quiz CONCORSO PER L'ASSEGNAZIONE DI SEDI FARMACEUTICHE 2025
Suddivisione database ministeriale
GRUPPI DI QUESITI 871-900
871. La furosemide è un diuretico utile per il trattamento di
A) scompenso cardiaco congestizio ed edema polmonare
B) ipercalciuria
C) diabete insipido
D) glaucoma
E) iperglicemia
872. E’ obbligatorio per il farmacista tenere in modo ostensibile al pubblico l’elenco ufficiale dei medicinali registrati?
A) si, sempre
B) no, purchè detenga almeno l’informatore farmaceutico o altra pubblicazione analoga
C) no
D) no, è obbligatorio solo per le farmacie ospedaliere
E) no, è sufficiente tenerlo in farmacia
873. La bromocriptina è usata nel trattamento del morbo di Parkinson in quanto:
A) è antagonista dei recettori dopaminergici D2 centrali
B) è antagonista dei recettori serotoninergici 5HT2 centrali
C) è agonista dei recettori dopaminergici D2 centrali
D) è agonista dei recettori serotoninergici 5-HT2 centrali
E) aumenta la sintesi neuronale di dopamina
874. I COXIBs (Inibitori selettivi della COX-2) possono dare i seguenti effetti avversi:
A) sanguinamento
B) ulcera peptica
C) crisi convulsive
D) allungamento del tratto QT
E) nessuna delle risposte è corretta
875. Per il controllo di quale situazione epilettica tra quelle indicate il diazepam per via endovenosa costituisce il farmaco di prima scelta?
A) stato di male epilettico
B) epilessia del lobo temporale
C) epilessie parziali semplici
D) assenze
E) epilessia mioclonica
876. L' assorbimento di un farmaco dal tratto gastrointestinale è regolato da
A) estensione della superficie interessata
B) flusso sanguigno al sito di assorbimento
C) forma farmaceutica
D) concentrazione del farmaco
E) tutti i fattori indicati
877. Il target cellulare della Lovastatina è rappresentato da:
A) 3-idrossi-3-metilglutarilcoenzima A reduttasi
B) a-glucosidasi
C) a-amilasi
D) acetilcolinesterasi
E) monoammino ossidasi-A
878. Il trazodone è un farmaco antidepressivo avente la struttura riportata. Quale delle affermazioni riportate è ERRATA?
A) non ha somiglianze strutturali con la fenelzina
B) provoca sedazione
C) in alcuni casi provoca ipotensione
D) produce priapismo
E) e’ un inibitore specifico delle MAO
879. A quale classe di farmaci viene riferito il suffisso “trexato” nella Denominazione Comune?
A) beta-bloccanti adrenergici
B) Antagonisti dell’acido folico
C) Antiacidi dispensabili come OTC
D) Ormoni estrogeni
E) Antistaminici H2
880. Le aflatossine sono micotossine prodotte da muffe (Aspergillus flavus, Aspergillus parasiticus). Quale delle seguenti affermazioni è FALSA?
A) contaminano principalmente alimenti vegetali
B) possono contaminare carni, latte e formaggi
C) causano cancro epatico
D) sono distrutte dal calore durante le normali operazioni di cottura
E) la loro formazione è favorita da temperature elevate ed alta umidità
881. Qualora il medico, nel prescrivere un medicinale in regime di SSN, apponga sulla ricetta l’indicazione di non sostituibilità, l’eventuale differenza tra il prezzo più basso ed il prezzo del farmaco prescritto,salvo deroghe regionali, è a carico dell’
A) minori di 18 anni
B) esenti per patologia
C) esenti per reddito
D) invalidi di guerra titolari di pensione vitalizia
E) non sono previste eccezioni
882. I poli(etilen glicoli) a basso peso molecolare sono utilizzati nei preparati parenterali come
A) co-solventi
B) tamponi
C) antiossidanti
D) chelanti
E) tensioattivi
883. Quale dei seguenti effetti indesiderati è dato dalla propoli?
A) reazioni allergiche
B) vomito
C) convulsioni
D) diarrea
E) nessuna delle indicazioni è corretta
884. Quale dei seguenti messaggeri chimici dell’organismo è capace di interagire con i recettori nicotinici
A) GABA
B) dopamina
C) serotonina
D) acetilcolina
E) noradrenalina
885. Quale elemento strutturale, tra quelli indicati, deve essere presente in un farmaco per il quale si voglia mantenere l'attività a livello periferico?
A) 1
B) 2
C) 3
D) 4
E) nessuna di quelle indicate
886. La legislazione alimentare ai sensi del regolamento (CE) 1924/2006 non ammette l’impiego di indicazioni sulla salute (claims) relative agli alimenti riguardanti:
A) effetti terapeutici
B) riduzione di un fattore di rischio di malattia
C) contenuto di nutrienti degli alimenti
D) valore energetico degli alimenti
E) effetti volti a favorire il senso di sazietà
887. Secondo la F.U. un cerotto transdermico può essere composto da:
A) una matrice monostrato
B) una matrice multistrato
C) un serbatoio semisolido un lato del quale è costituito da una membrana
D) un serbatoio semisolido ermeticamente chiuso
E) tutte le indicazioni sono corrette tranne una
888. Nel trapianto di rene il farmaco immunosoppressore più efficace per evitare il rigetto è:
A) Azatioprina
B) Ciclosporina
C) Fluorouracile
D) Ciclofosfamide
E) Vincristina
889. La deposizione degli aerosol lungo l’albero respiratorio dipende da:
A) lipofilia dello xenobiotico
B) composizione delle particelle dell’aerosol
C) efficacia della rimozione linfatica
D) dimensioni delle particelle dell’aerosol
E) nessuna delle indicazioni è corretta
890. Le soluzioni isotoniche hanno la stessa pressione osmotica. Quale delle soluzioni sotto riportate ha la pressione osmotica più alta se le concentrazioni dei sali (espresse in normalità) sono quelle indicate?
A) cloruro di zinco 0,05
B) pilocarpina cloridrato 0,05
C) solfato di zinco 0,05
D) acido borico 0,05
E) atropina metilbromuro 0,05
891. Una specialità medicinale, oltre ai principi attivi comunemente utilizzati per la terapia dell’acidità gastrica, contiene anche dimeticone. Questo composto, avente la struttura indicata, Questa sostanza svolge azione adiuvante di natura
A) antispastica
B) eupeptica
C) antistaminica H2
D) colagoga
E) nessuna di quelle indicate
892. Un farmaco presenta minore tossicità quando si lega al suo recettore con legame covalente del tipo
A) S-S
B) N-C
C) O-C
D) P-O
E) C-C
893. Quali dei seguenti farmaci è un farmaco di prima scelta per la cura delle prime alterazioni cognitive nel paziente affetto da morbo di Alzheimer?
A) donepezil
B) diazepam
C) atropina
D) simvastatina
E) metadone
894. Il farmaco antitumorale Erlotinib è un inibitore di quale proteina?
A) EGFR
B) HER2
C) RAS
D) RAF
E) AMPK
895. Quale tra questi farmaci è ototossico?
A) ampicillina
B) isoniazide
C) eritromicina
D) niacina
E) gentamicina
896. Il meccanismo d’azione dei diuretici dell’ansa consiste nell’inibizione di
A) cotrasporto 2Cl-, Na+, K+
B) riassorbimento di HCO3-
C) ATPasi Na+, K+dipendente
D) cotrasporto Cl-, Na+
E) antiporto H+, Na+
897. Quale delle seguenti affermazioni relative al trattamento del diabete NON è vera?
A) l’insulina costituisce il principale trattamento del diabete di tipo 1
B) le sulfaniluree sono ipoglicemizzanti orali
C) le biguanidi sono degli euglicemizzanti orali
D) le sulfaniluree sono il trattamento di prima scelta nel diabete di tipo 2
E) metformina è l'antidiabetico orale di prima scelta nel trattamento del diabete di tipo 2
898. Quale farmaco chemioterapico modula selettivamente il recettore degli estrogeni?
A) Leuprolide
B) Ciclofosfamide
C) Talidomide
D) Abiraterone
E) Tamoxifene
899. La ceftazidima si può classificare come una
A) tetraciclina
B) cefalosporina di “terza generazione”
C) cefalosporina di “prima generazione”
D) cefalosporina di “seconda generazione”
E) eritromicina
900. Le tetracicline sono controindicate in gravidanza in quanto:
A) si depositano nell’osso in fase di crescita
B) causano epatotossicità materna ad alte dosi
C) possono provocare pigmentazione scura della dentatura decidua del neonato
D) tutte le indicazioni sono corrette
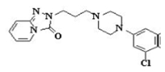
E) studi sull’animale hanno dimostrato effetti sullo sviluppo scheletrico